2011建筑经济专业知识与实务(中级)高效应试版最新章节目录

三、本章重要考点及例题

(一)重要概念归纳

1.资金的时间价值

(1)利率(折现率):根据未来现金流量求现在的现金流量所使用的利率称为折现率。

(2)计息次数:项目整个生命周期计算利息的次数。

(3)现值:表示资金发生在某一特定时间序列始点上的价值。

(4)终值:表示资金发生在某一特定时间序列终点上的价值。

(5)年金:某一特定时间序列期内,每隔相同时间收支的等额款项。

(6)等值:不同时期、不同数额但其“价值等效”的资金称为等值,又叫等效值。

(7)单利法:计息时,仅用最初本金来计算,先前累计增加的利息不计算利息;即常说的“利不生利”。

(8)复利法:计息时,先前累计增加的利息也要和本金一样计算利息,即常说的“利生利”、“利滚利”。

(9)资金时间价值产生的原因:通货膨胀、货币贬值;承担风险;货币增值。

2.单一投资方案的评价

基准收益率:就是企业或者部门所确定的投资项目应该达到的收益率标准。

净现值(NPVPW):是投资方案在执行过程中和生产服务年限内各年的净现金流量(现金流入减现金流出的差额)按基准收益率或设定的收益率换算成现值的总和。

净年值(AW):通常又称为年值,是将投资方案执行过程中和生产服务年限内的净现金流量利用基准收益率或设定的收益率换算成均匀的等额年值。

净将来值(FW):通常称为将来值,是将投资方案执行过程中和生产服务年限内的净现金流量利用基准收益率或设定的收益率换算成未来某一时点(通常为生产或服务年限末)的将来值的总和。

数额法的实质就是根据基准收益率或设定的收益率,将投资方案的净现金流量换算成净现值或净年值、净将来值,然后按上述值是大于、等于或小于零来判断方案是可以接受,还是不可以接受的方法。

净现值、净年值和净将来值是投资方案是否可以接受的重要判断依据之一,它们反映了方案较通常投资机会收益值增加的数额,尤其是净现值更能给出这种收益增加值的直观规模。但进行这种计算时须事先给出基准收益率或设定收益率。

值得说明的是:在应用这三个指标时,哪个方便即可应用哪个,其结论是相同的。

内部收益率,就是使方案寿命期内现金流量的净现值(或净年值、或净将来值)等于零时的利率。

内部收益率实质上描述的是方案本身的“效率”,当业已求得投资方案的效率较其他投资的效率(如基准收益率)大时,说明前者较后者好。

若投资方案的内部收益率≥基准收益率或设定的收益率时,该方案可以接受;若投资方案的内部收益率<基准收益率或设定的收益率时,该方案不可以接受。

投资回收期的求解:由于考虑到将来的不确定性和资金的筹措等问题,有时需要知道靠每年的净收益将初期投资回收完所经历的时间为多少年(称为回收期)。

投资回收期通常有两种:1.从方案投产算起;2.从投资开始算起,计算时应予以说明。

求出某方案的投资回收期后,方案是否接受的判断标准:

(1)认为投资回收期越短越好;

(2)投资回收期小于方案的寿命期即接受;

(3)投资回收期比国家或企业规定的最大允许回收期短,即接受。

3.投资方案的类型与评价指标

投资方案的类型:独立方案、互斥方案、混合方案。

独立方案的评价指标:在某种资源有限的条件下,从众多的互相独立的方案中选择几个方案时,采用的评价指标应该是“效率”,可表述为:

效率=效益/相应的制约资源的数量

在此之前,我们所讨论的方案都是在初期投资之后,每期期末都产生均等的净收益情况下的投资方案选择问题。但是,假如参与比较的各投资方案的现金流量形式截然不同,那么,收益率有时就不能作为评价投资方案优劣的指标。

互斥方案的选择标准有很多,例如净现值、净年值、净将来值法,差额的净现值、净年值、净将来值法,追加投资收益率法等。

在很多情况下研究各方案不同的经济要素,找出现金流量的差额比较容易。研究两方案现金流量的差额,由差额的净现值、净年值和净将来值的正负判定方案的优劣是有效的方法,这种方法叫做差额法。差额法包括差额的净现值法、差额的净年值法和差额的净将来值法。

现实中很多方案的寿命期往往是不同的。比较寿命期不同方案的优劣时,严格地说,应该考虑至各投资方案寿命期最小公倍数为止的实际可能发生的现金流量。但是,预测遥远未来的实际现金流量往往是相当困难的。为了简化计算,在比较寿命期不同的互斥方案时常常使用年值法。

回收期的长短对评价方案优劣是不起作用的。回收期仅仅是一个表明投资得到补偿的速度指标,是个时间的限值。因此,回收期法不宜作为一个指标单独使用,只能作为辅助性的参考指标加以应用。

(二)重要公式解析

1.单利计算公式为:

I=P·n·i

I表示利息额,P表示本金,i表示利率,n表示计息的周期数。

2.复利的计算公式为:

F=P·(1+i)n

I=F- P=P[(1+i)n-1]

F为本利和,I表示利息额,P表示本金,i表示利率,n表示计息的周期数。

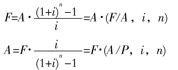
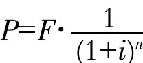
3.现值与将来值互算

F=P·(1+i)n=P·(F/P,i,n =F·(P/F,i,n)

F为将来值,P表示现值,i表示利率,n表示计息的周期数,(F/P,i,n)称为一次支付复本利和因数,(P/F,i,n)称为一次支付现值因数。

4.年值与将来值的互算

n为计息周期,A 为每期期末支付的金额,i为利率,Fn期末的复本利和,(F/A,i,n)称为等额支付将来值因数,(A/F,i,n)称为等额支付偿债基金因数。

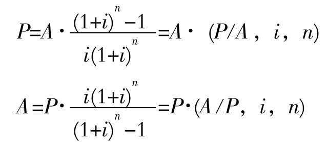
5.年值与现值的互算

P/A,i,n)称为等额支付现值因数,(A/P,i,n)称为资本回收因数,其他符号含义同上。特别需指出的是:当求港湾、道路以及寿命长的建筑物、构筑物等的投资年值或净收益的现值时,可用以下简化公式:

A=i·P

6.资金时间价值计算基本公式推导的假定条件

(1)实施方案的初期投资假定发生在方案的寿命期初;

(2)方案实施中发生的经常性收益和费用假定发生在计息期的期末;

(3)本期的期末是下期的期初;

(4)现值P是当前期间开始时发生的;

(5)将来值F是当前以后的第n期期末发生的;

(6)年值A 是在考察期间间隔发生的;当问题包括PA 时,系列的第一个A 是在P发生一个期间后的期末发生的;当问题包括FA 时,系列的最后一个AF同时发生。

7.内部收益率的求法

(三)典型例题解析

【单选题】

1.某人以10%的单利借出1200元,借期为2年,然后以8%的复利将上述借出金额的本利和再借出,借期为3年。已知:(F/P,8%,3)=1.260,则此人在第5年末可以获得复本利和为( )元。【2009年真题】

A.1512.0

B.1663.2

C.1814.4

D.1829.5

【答案】C

【解析】

2年后得到的利息=P×n×i=1200×2×10%=240(元)

2年后得到的本利和=1200+240=1440(元)

5年末得到的本利和=P×(F/P,8%,3)=1440×1.260=1814.4(元)

本题考核的是单利和复利的计算。

2.公式A=PA/P,i,n)中的P应发生在( )。

A.第一期等额支付时刻的前一期末

B.与最后一期等额支付时刻相同

C.与第一期等额支付时刻相同

D.任意时期

【答案】A

【解析】本题考查的是资金时间价值计算基本公式推导的假定条件。

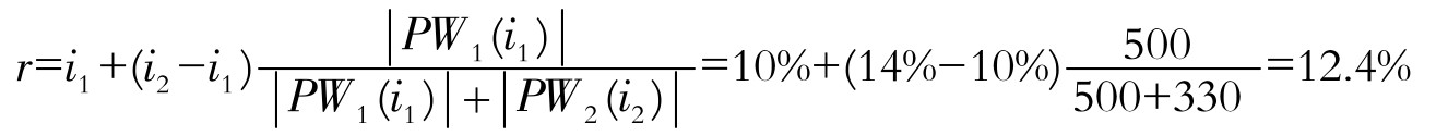
3.某建设项目,当资本利率i1=10%时,净现值为500万元;当i2=14%时,净现值为-330万元。基准收益率为8%,则该项目的内部收益率应( )。

A.小于8%

B.在10%和14%之间

C.在8%和14%之间

D.大于14%

【答案】B

【解析】

本题可以通过以上公式计算,也可以通过在两个利率下净现值一正一负推导出利率应在两者之间。

4.某地区用150万元捐款修建一所小学,学校每年的维护费用为3万元(折算至年末),除初期建设费用外,其余捐款(用于维护的费用)以6%的年利率存入银行,以保证正常的维护费用开支,则全部资金是( )万元。

A.99.67

B.68.67

C.200

D.100

【答案】C

【解析】

当n趋于无穷大时,A=i×P,所以P=i/A=3/6%=50(万元)

所以,修建永久性建筑物的资金=150+50=200(万元)

5.某方案初期投资额为500万元,此后每年年末的作业费用为50万元。方案的寿命期为10年,10年后的残值为零。假设基准收益率为10%,已知(P/A,10%,10)=6.144。则该方案总费用的现值为( )万元。

A.400

B.807.2

C.307.2

D.245.76

【答案】B

【解析】

P=AP/A,10%,10)=50×6.144=307.2万元

307.2+500=807.2万元

6.差额净现值是评价哪种方案的指标( )。

A.单一方案

B.独立方案

C.寿命期相同的互斥方案

D.寿命期不同的互斥方案

【答案】C

【解析】寿命期相同的互斥方案的评价指标为净值法、差额法和追加投资收益率法。

7.在下述方法中,最适合作为寿命期不同的互斥方案选择的方法是( )。

A.净现值法

B.差额法

C.净年值法

D.净将来值法

【答案】C

【解析】寿命期不同的互斥方案选择的方法有最小公倍数法和年值法,最常用的是年值法。

8.某方案现时点投资23万元,此后从第2年年末开始,连续20年,每年将有6.5万元的净收益,净残值为6.5万元。若基准收益率为20%,已知:(P/A,20%,20)=4.8696,(P/F,20%,21)=0.0217,则该方案的净现值是( )万元。【2009年真题】

A.2.57

B.3.23

C.3.52

D.4.35

【答案】C

【解析】

把每年净收益折为第2年初现值P1=AP/A,20%,20)=6.5×4.8696=31.6524

把每年净收益折为现值P2=P1/(1+r)=31.6524/120%=26.377

把净残值折为现值P3=FP/F,20%,21)=6.5×0.0217=0.14105

所以,净现值=26.377+0.14105-23=3.52

本题考核的是净现值的求法。

9.资金时间价值计算基本公式推导的前提条件是:假定实施方案的初期投资发生在( )。【2006年真题】

A.方案的寿命期初

B.方案的寿命期末

C.方案的寿命期中

D.方案寿命期的任意时刻

【答案】A

【解析】本题考查的是资金时间价值计算基本公式推导的假定条件。

10.现有a、b两个互斥的投资方案,a方案的初期投资额为100万元,一年后的净收益为120万元;b方案的初期投资额为200万元,一年后的净收益为245万元。a、b两个方案的寿命期都为一年,一年后的净残值为零。则b方案较a方案增加投资的追加投资收益率是( )。【2005年真题】

A.15%

B.18%

C.22%

D.25%

【答案】D

【解析】

b方案比a方案多投资=200-100=100

b方案比a方案多收益=245-120=125

我们可以认为多带来的收益是由于多投资那部分带来的,所以

rb- a=25%

11.资金时间价值计算基本公式推导的前提条件是:年值A 是在考察期间间隔发生的,当问题包括FA 时,系列的最后一个A( )。

A.与F同时发生

B.在F之前发生

C.在F之后发生

D.在任意时刻发生,与F没关系

【答案】A

【解析】年值A是在考察期间间隔发生的,当问题包括PA时,系列的第一个A是在P发生一个期间后的期末发生的,当问题包括F和A时,系列的最后一个A与F同时发生。

12.某地区拟建收费的高速公路,所需资金:现时点为4亿元,此后第1,2,3年年末各需2亿元(3年内合计投资10亿元),修成后每隔5年维修一次,每次修理费用1000万元。若基准收益率为8%,则该道路自开通(3年后)起维持40年所需总投资额(包括初期投资和维修费在内)的现值为( )亿元。已知:(P/A,8%,3)=2.577,(A/F,8%,5)=0.17046,(P/A,8%,40)=11.925,(P/F,8%,3)=0.7938。

A.12.426

B.10.325

C.9.315

D.11.428

【答案】C

【解析】

先把前3年的投资折成现值AP/A,i,n,)=2×(P/A,8%,3,)=2×2.577=5.154

每5年维修一次,支付0. 1亿元,那么每年支付的费用为0. 1×(A/F,8%,5)=0.1×0.17046=0.017046

再把40年的维修费用折现为现值0.017046×(P/A,8%,40,)=0.017046×11.925=0.20327

这只是建成后的现值,再折到三年前0.20327×(P/F,8%,3)=0.20327×0. 7938=0.161358

现值总和4+5.154+0.161358=9.315,选C。

【多选题】

1.下列各项中,属于资金的时间价值产生的原因的是( )。

A.通过资金运动可以使货币增值

B.承担风险

C.通货膨胀、货币贬值

D.只要有资金就会产生收益

E.产生现金流量的大小

【答案】ABC

【解析】本题考查资金的时间价值产生原因。

2.寿命期相同的互斥方案选择的方法有( )。

A.净值法

B.差额法

C.追加投资收益率法

D.最小公倍数法

E.差额净现值法

【答案】ABCE

【解析】最小公倍数法用于寿命期相同的互斥方案选择。

3.下列投资方案评价方法中,不可以用于独立方案选择的有( )。

A.投资回收期法

B.内部收益率法

C.差额法

D.净现值法

E.最小公倍数法

【答案】ACDE

【解析】独立方案只能用效率指标(利润率或内部收益率)。

4.某建设项目,当i1=10%时,净现值为300万元;当i2=12%时,净现值为-50万元,平均资金成本率为11.2%,基准收益率为8%,则该项目( )。

A.内部收益率在10%~12%之间

B.净现值小于零

C.可行

D.净年值小于零

E.净将来值小于零

【答案】AC

【解析】净现值为零时的收益率即为该方案的内部收益率,所以内部收益率在10%~12%之间是正确的;该项目的内部收益率大于基准利率,所以该项目可行,所以净现值、净年值、净将来值都大于零。

5.属资金时间价值产生原因的是( )。

A.利润的产生需要时间

B.资金通过运动可以增值

C.时间和利润成正比

D.只要有资金就会产生收益

E.失去货币使用权而获得的代价

【答案】BE

【解析】资金的时间价值有两个含义:其一是将货币用于投资,通过资金运动使货币增值;其二是将货币存入银行或出借,相当于个人失去了对这些货币的使用权,用时间计算这种牺牲的代价。

6.当求出某方案的投资回收期后,应如何判断方案是否可以接受( )。

A.回收期规定的最大容许回收期短,即可接受

B.回收期小于方案的寿命期即可接受

C.回收期大于方案的寿命期即可接受

D.认为回收期越短越好

E.回收期比国家或企业规定的最大容许回收期短,即可接受

【答案】BDE

【解析】

当求出某方案的投资回收期后,应如何判断方案是否可以接受呢?判断的方法有三种:(1)认为回收期越短越好;

(2)回收期小于方案的寿命期即可接受;

(3)回收期比国家或企业规定的最大容许回收期短,即可接受。

7.单一投资方案的评价中内部收益率与基准收益率的关系( )。

A.只要投资方案的内部收益率≥基准收益率或设定的收益率,则该方案的净现值(净年值、净将来值)就肯定≥0

B.只要投资方案的内部收益率<基准收益率或设定的收益率,则该方案的净现值(净年值、净将来值)就肯定≥0

C.只要投资方案的内部收益率≥基准收益率或设定的收益率,则该方案的净现值(净年值、净将来值)就肯定<0

D.只要投资方案的内部收益率=基准收益率或设定的收益率,则该方案的净现值(净年值、净将来值)就肯定=0

E.只要投资方案的内部收益率<基准收益率或设定的收益率,则该方案的净现值(净年值、净将来值)就肯定<0

【答案】AE

【解析】只要投资方案的内部收益率≥基准收益率或设定的收益率,则该方案的净现值(净年值、净将来值)就肯定≥0;只要投资方案的内部收益率<基准收益率或设定的收益率,则该方案的净现值(净年值、净将来值)就肯定<0.

8.下列表述中,正确的有( )。

A.复利终值系数和复利现值系数互为倒数

B.年金终值系数和年金现值系数互为倒数

C.年金终值系数和偿债基金互为倒数

D.年金现值系数和资本回收系数互为倒数

E.年金现值系数和偿债基金系数互为倒数

【答案】ACD

【解析】本题考查资金的时间价值计算中各个系数的表达式。

(四)经典案例分析

1.某项目现有三个互斥的投资方案A、B、C,欲从中选择最有利的方案,三个投资方案的投资额及一年后的净收益如下表所示。各方案的寿命期都是一年,一年后的净残值为零。假设基准收益率为6%。

根据题意,回答下列问题:【2008年真题】

(1)B方案的内部收益率为( )。

A.20%

B.23%

C.25%

D.27%

【答案】C

【解析】

-300+375÷(1+i)=0,得到i=25%,因此选择C。

(2)C方案的净现值为( )万元。

A.39.09

B.55.66

C.78.97

D.83.00

【答案】B

【解析】

净现值=-400+483÷(1+6%)=55.66(万元)。

(3)在下列指标中,可用于对A、B、C三个方案进行选择的为( )。

A.追加投资收益率

B.净将来值

C.内部收益率

D.资金利润率

【答案】AB

【解析】对于寿命期相同的互斥方案的选择,可以采用净现值、净年值、净将来值,也可以采用追加投资收益率法等差额法进行评选,因此选项AB正确。

(4)该项目方案的最佳选择为( )。

A.A方案

B.B、C两方案均可

C.C方案

D.A、B两方案均可

【答案】C

【解析】

采用净现值法,NPV A=-200+260÷(1+6%)=45. 28(万元);NPV B=-300+375÷(1+6%)=53.77(万元);NPV C=-400+483÷(1+6%)=55.66(万元)。因此最佳选择为C方案。

2.某工厂正在研究选择具有同一功能的A、B两种机械哪一种有利的问题,两机械的寿命都是7年。初期投资额,A机械为10万元;B机械为14万元。每年的作业费用(假定为每年年末),A机械为2万元;B机械为0.9万元。该厂拟定的收益率为12%。已知:(P/A,12%,7)=4.564,(F/P,12%,7)=2.211,(A/P,12%,7)=0.21912。回答下述问题:

(1)折算成现值B方案较A方案有利( )。

A.1.02万元

B.-1.02万元

C.2.26万元

D.4.05万元

【答案】A

【解析】

A 方案费用现值=10+2×(P/A,12%,7)=19.128

B方案费用现值=14+0.9×(P/A,12%,7)=18.1076

B方案比A方案少花费费用=19.128-18.1076=1.0204

(2)折算成年值B方案较A方案有利( )。

A.0.8432万元

B.0.2235万元

C.2.62.45万元

D.0.4470万元

【答案】B

【解析】

A方案费用年值=10×(A/P,12%,7)+2=4.1912

B方案费用年值=14×(A/P,12%,7)+0.9=3.96768

B方案比A方案少花费费用=4.1912-3.96768=0.22352

(3)折算成将来值B方案较A方案有利( )。

A.3.486万元

B.1.564万元

C.2.255万元

D.1.787万元

【答案】C

【解析】

A方案费用将来值=19.128×(F/P,12%,7)=42.292

B方案费用将来值=18.1076×(F/P,12%,7)=40.036

B方案比A方案少花费费用=42.292-40.036=2.256

(4)在下述指标中,可以用于寿命期相同的互斥方案选择的是( )。

A.净现值

B.净年值

C.内部收益率

D.净将来值

E.追加投资收益率

【答案】ABDE

【解析】

3.某房地产公司拟购买一物业进行经营,基本情况是:投入运营后初期投资约5.5亿元,运营期预计为50年:每年的销售收益可达2.8亿元,销售收益将随市场变化而变化;按现在的物价水平测算,作业费用(按一年销售收益为2.8亿元计算)每年约为2亿元。其中,固定费用1亿元,变动费用与销售收益成正比;若该物业经营后有偿还能力,则银行可以贷款,贷款的利率i=10%。已知:(P/A,10%,50)=9.915,(P/A,10%,30)=9.427。

(1)如果实际发生值与预测值相同,该物业的净现值为( )亿元。

A.2.432

B.2.865

C.5.687

D.7.932

【答案】A

【解析】

NPV=(2.8-2)×(P/A,10%,50)-5.5=2.432

(2)当市场情况变化,运营期将缩短为30年,其他量值不变时,考虑投资额之后的净现值为( )亿元。

A.1.856

B.2.987

C.2.042

D.1.323

【答案】C

【解析】

本题与上面一题计算方法完全一样。NPV=(2.8-2)×(P/A,10%,30)-5.5=2.042

(3)由于市场情况变化,每年的销售收益减少10%时,该物业的净年值为( )亿元。

A.-0.865

B.-0.786

C.-0.568

D.-0.036

【答案】D

【解析】

-5.5/(P/A,10%,50)+[2.8×(1-10%)-(2-1)×(1-10%)-1]=-0.036

邸树彦 沈平主编
作家的话
去QQ阅读支持我
还可在评论区与我互动