村镇供水与饮水安全

下载全本
听书
村镇供水与饮水安全最新章节目录

第一节 地下水取水构筑物设计

由于地下水类型、埋藏深度、含水层性质等各不相同,开采和取集地下水的方法和取水构筑物型式也各不相同。取水构筑物中以管井和大口井最为常见。大口井用于取集浅层地下水,地下水埋深通常小于12m,含水层厚度在5~20m之内;管井用于开采深层地下水,管井深度一般在200m以内,但最大深度也可达1000m以上;截潜流工程可用于取集含水层厚度在4~6m、地下水埋深小于2m的浅层地下水,也可取集河床地下水或地表渗透水;辐射井一般用于取集含水层厚度较薄而不能采用大口井的地下水,含水层厚度薄、埋深大、不能用渗渠开采的,也可采用辐射井来开采地下水,故辐射井适应性较强,但施工困难;复合井适用于地下水位较高、厚度较大的含水层,有时在已建大口井中再打入管井成为复合井以增加井的出水量和改善水质。

一、管井

(一)管井的型式与构造

管井是地下水取水构筑物中应用最广泛的一种,因其井壁和含水层中进水部分均为管状结构而得名。常用凿井机械开凿,俗称机井。按其过滤器是否贯穿整个含水层,可分为完整井和非完整井。

管井主要由井室、井壁管、过滤器及沉沙管构成,如图2-1(a)所示。当有几个含水层且各层水头相差不大时,可用多层过滤器管井,如图2-1(b)所示。在抽取稳定的基岩中的岩溶、裂隙水时,管井也可不装井壁管和过滤器。

井室位于最上部,用以保护井口、安装设备、进行维护管理;井管则是为了保护井壁不受冲刷、防止不稳定岩层的塌落、隔绝水质不良的含水层;过滤器两端与井管连接,置于含水层位置,是井管的进水部分,同时也可防止含水层中细小颗粒大量涌入井内,起保护作用;人工填砾可扩大进水面积和促进天然滤层的形成;沉淀管(又称沉沙管)位于井管的最下端,用以沉积涌入井内的沙粒,长度一般不少于2~3m,如果含水层中多粉细沙时,可适当加长;人工封闭物是为了防止地表污水、污物及水质不良地下水污染含水层而设置的,一般采用优质黏土,如果要求较高时,也可选用水泥封闭。现将管井各部分构造分述如下。

图2-1 管井的一般构造

1—井室;2—井壁管;3—过滤器;4—沉淀管;5—封闭黏土;6—人工填砾

1.井室

井室通常是保护井口免受污染、安装各种设备(如水泵机组或其他技术设备)以及进行维护管理的场所,因此,井室的构造应满足室内设备的正常运行要求,为此井室应有一定的采光、采暖、通风、防水、防潮设施,应符合卫生防护要求。具体实施措施如下:井口要用优质黏土或水泥等不透水材料封闭,一般不少于3m,并应高出井室地面0.3~0.5m,以防止井室积水流入井内。

抽水设备是影响井室的主要因素,水泵的选择首先应满足供水时流量与扬程的要求,即根据井的出水量、静水位、动水位和井的构造(井源、井径)、给水系统布置方式等因素来决定。在此基础上,综合考虑井的施工方式、水质的影响、气候、水文地质条件及取水井附近的卫生状况。井室根据抽水设备的不同可分为以下几种类型。

(1)深井泵房。深井泵由泵体、装有传动轴的扬水管、泵座和电动机组成。泵座和电动机安装在井室内,根据不同的条件和要求,深井泵房可以建成地面式、地下式或半地下式。大流量深井泵房通常采用半地下式,如图2-2(a)所示,其维修管理、防水、防潮、采光、通风等条件较好;但地下式[图2-2(b)]便于城镇、厂区规划,防寒条件好。

(2)深井潜水泵房。深井潜水泵的水泵和电动机一起浸没在动水位以下,井室内只要安装闸门等附属设备即可,井室实际上与一个阀门井相似,如图2-3所示。由于潜水泵具有结构简单、使用方便、重量轻、运转平稳、无噪声等优点,在小流量管井中被广泛采用。

图2-2 深井泵房布置

1—井管;2—水泵机组;3—水泵基础;4—单向阀;5—阀门;6—压水管;7—排水管;8—安装孔;9—通风孔;10—控制柜;11—排水坑;12—人孔

(3)卧式水泵房。采用卧式水泵的管井,其井室可以与泵房分建或合建。分建的井室类似阀门井,合建的井室与深井泵房相似。由于卧式水泵受其吸水高度的限制,常常用于地下水动水位较高的情况,而且其井室大多设于地下。

(4)其他类型的井室。对于地下水位很高的管井,若可采用自流井或虹吸方式取水时,由于无需在井口设抽水装置,井室大多做成地下式,其结构与一般阀门井相似。

图2-3 地下式潜水泵房

1—井管;2—压水管;3—排水管;4—单向阀;5—阀门;6—安装孔;7—通风管;8—人孔;9—控制柜;10—排水坑;11—攀梯

装备空压机的管井,井室与泵站分建。井室设有气水分离器。出水通常直接流入清水池,故井室与一般深井泵站大体相同。

2.井管

井管也称井壁管。由于受到地层及人工填砾的侧压力,故要求它应有足够的强度,并保持不弯曲,内壁平滑、圆整,以利于抽水设备的安装和井的清洗、维修。井管可以是钢管、铸铁管、钢筋混凝土管、石棉水泥管、塑料管等。一般情况下,钢管适用的井深范围不受限制,但随着井深的增加就相应增大壁厚。铸铁管一般适用于井深小于250m范围,它们均可用管箍、丝扣或法兰连接。钢筋混凝土管一般井深不得大于150m,常用管顶预埋钢板圈焊接连接。井管直径应按水泵类型、吸水管外形尺寸等确定。当采用深井或潜水泵时,井管内径应大于水泵井下部分最大外径100mm。

图2-4 分段钻进时井壁管构造

1、2、3—井管段;4—过滤器

井管的构造与施工方法、地层岩石稳定程度有关,通常有如下两种情况。

(1)分段钻进时的异径井管构造。分段钻进法通常称为套管钻进法。如图2-4(a)所示,开始时钻进到h1的深度,孔径为d1,然后下入井管段1,这一段井管也称导向管或井口管,用以保持井的垂直钻进和防止井口坍塌;然后将孔缩小到d2,继续钻进到h2的深度,下入井管段2。上述操作程序可视地层厚度,或者重复进行下去,或者接着将孔径减小到d3继续钻进至含水层,放井管段3,放入过滤器4。最后,用起重设备将井管段3拔起,使过滤器4露出,并分别在适当部位切断井管段3、井管段2,如图2-4(b)所示。为防止污染,两井管段应重叠3~5m,其环形空间用水泥封填,如图2-4(c)所示。

(2)不分段钻进时的同径井管构造。在地层比较稳定和井深不大的情况下都不进行分段钻进,而采用一次钻进的方法。在钻进中利用清水或泥浆对井壁的压力和泥浆对松散颗粒的胶结作用,使井壁不发生坍塌。这种方法又称清水钻进法或泥浆钻进法。当钻进到设计深度后,将沉淀管、过滤器、井管一次下入井孔内,然后在过滤器与井管之间填入砾石,并在井口管和井壁之间用黏土或水泥封填。当井内地层不稳定时,则在钻进的同时下入套管,以防坍塌,至设计深度后在套管内下入井管、填砾,最后拔出套管,并封闭井口,此种方法称套管护壁钻进法。

3.过滤器

(1)过滤器的作用和组成。过滤器是管井的重要组成部分。它连接于井管,安装在含水层中,用以集水和保持填砾与含水层的稳定。它的构造、材质、施工安装质量对管井的出水量、含砂量和工作年限有很大影响,所以是管井构造的核心。对过滤器的基本要求是:具有较大的孔隙度和一定的直径,有足够的强度和抗蚀性,能保持人工填砾和含水层的稳定性,成本低廉。

过滤骨架孔眼的大小、排列、间距与管材强度、含水层的孔隙率及其粒径有关。首先,骨架的孔隙率应不小于含水层的孔隙率;同时,受管材强度的制约,各种管材允许孔隙率为:钢管30%~35%,铸铁管18%~25%,钢筋水泥管10%~15%,塑料管10%;此外,按含水层的粒径选择适宜的孔眼尺寸能使洗井时含水层内细小颗粒通过其孔眼被冲走,而留在过滤器周围的粗颗粒形成透水性良好的天然反滤层。这种反滤层对保持含水层的渗透稳定性,提高管井单位出水量、延长使用年限都有很大作用。表2-1为过滤器进水孔眼直径或宽度。

表2-1 过滤器的进水孔眼直径或宽度

1. d60d50d10是指颗粒中按重量计算有60%、50%、10%粒径小于这一粒径。

2.较细砂层取小值,较粗砂层取大值。

过滤层起着过滤作用,有分布于骨架外的密集缠丝、带孔眼的滤网及砾石充填层等。

(2)过滤器的类型。由不同骨架和不同过滤层可组成各种过滤器。现将几种常用的简述如下:

骨架过滤器[图2-5(a)、(b)]只由骨架组成,不带过滤层。仅用于井壁不稳定的基岩井,较多地用作其他过滤器的支撑骨架。

缠丝过滤器[图2-5(c)、(d)]的过滤层由密集程度不同的缠丝构成。如为管状骨架,则在垫条上缠丝;如为钢筋骨架,则直接在其上缠丝。缠丝为金属丝或塑料丝。一般采用直径2~3mm的镀锌铁丝;在腐蚀性较强的地下水中宜用不锈钢等抗蚀性较好的金属丝。生产实践中还曾试用尼龙丝、增强塑料丝等强度高、抗蚀性强的非金属丝代替金属丝,取得了较好的效果。

缠丝的效果较好,且制作简单、经久耐用,适用于中砂及更粗颗粒的岩石与各类基岩。若岩石颗粒太细,要求缠丝间距太小,加工常有困难,此时可在缠丝过滤器外充以砾石。

图2-5 过滤器类型图

包网过滤器[图2-5(e)]由支撑骨架和滤网构成。为了发挥网的渗透性,需在骨架上焊接纵向垫条,网再包于垫条外。网外再绕以稀疏的护丝(条),以防磨损。网材有铁、铜、不锈钢、塑料压模等类。一般采用直径为0.2~1mm的铜丝网,网眼大小也可根据含水层颗粒组成。过滤器的微小铁丝,易被电化学腐蚀并堵塞,因此也有用不锈钢丝网或尼龙网取代的。

填砾过滤器[图2-5(f)]以上述各种过滤器为骨架,围填以与含水层颗粒组成有一定级配关系的砾石层,统称为填砾过滤器。工程中应用较广泛的是在缠丝过滤器外围填砾石组成的缠丝填砾过滤器。

这种人工围填的砾石层又称人工反滤层。由于在过滤器周围的天然反滤层是由含水层中的骨架颗粒的迁移而形成的,所以不是所有含水层都能形成效果良好的天然反滤层。因此,工程上常用人工反滤层取代天然反滤层,如图2-6所示。

填砾过滤器适用于各类砂质含水层和砾石、卵石含水层,过滤器的进水孔尺寸等于过滤器壁上所填砾石的平均粒径。

填砾粒径和含水层粒径之比如式(2-1),即

式中 D50——填砾中粒径小于D50值的砂、砾石占总重量的50%;

d50——含水层中粒径小于d50的颗粒占总重量的50%。

图2-6 过滤器周围的人工反滤层(填砾)

1—含水层;2—人工填砾

填砾粒径和含水层粒径之比如能在式(2-1)的范围内时,填砾层通常能截留在含水层中的骨架颗粒,使含水层保持稳定,而细小的非骨架颗粒则随水流排走,故具有较好的渗水能力。

(3)过滤器的直径和长度。过滤器的直径直接影响井的出水量,因此它是管井结构设计的关键。过滤器直径的确定,是根据井的出水量选择水泵型号,按水泵安装要求确定的。一般要求安装水泵的井段内径,应比水泵铭牌上标定的井管内径至少大50mm。

此外,在管井运行时,如地下水流速过大,当超过含水层允许渗透速度时,含水层中某些颗粒就会被大量带走,破坏含水层的天然结构。为保持含水层的稳定性,需要对过滤器的尺寸,尤其是过滤器的外径,进行含水层入井速度的复核计算如式(2-2),即

式中 D——过滤器的外径(包括填砾厚度),m;

Q——设计出水量,m3/s;

L——过滤器有效长度(工作部分长度),m;

n——过滤器进水表面有效孔隙度(一般按过滤器进水表面孔隙度50%考虑);

v——允许入井流速,m/s。

含水层的允许入井流速可用式(2-3)近似计算,即

式中 k——含水层渗透系数,m/s。

根据某些生产井的实际资料验算,该公式的计算结果虽比其他公式要好,但仍偏大近1倍,因此,允许入井流速还可从表2-2查得。

表2-2 允许入井流速

如地下水对过滤器有结垢和腐蚀时,允许入井流速应减少1/3~1/2。

图2-7 过滤器有效长度

过滤器长度是根据预计出水量、含水层性质和厚度、水位降深及其他技术经济因素确定的,它关系到地下水资源的有效开发。合理确定过滤器的有效长度是比较困难的。根据井内测试,在细颗粒含水层中,靠近水泵吸水口部位进水多,下部进水少,大约有70%~80%的出水量是从过滤器上部进入的;在粗颗粒含水层中,过滤器的有效长度可随动水位和出水量的加大而向深部延长,但随着动水位继续增加,向深度的延长率就会越来越小。上述管井中出水量的不均匀分布,当含水层厚度越大、透水性越好、井径越小时,其不均匀性越明显。根据地下水运动的井流理论,上述现象与水泵吸水口以下井周围的含水层中形成部分流线向上弯曲的地下水三维流所造成的附加阻力有关,如图2-7所示;同时,也与水流通过过滤器进入井内产生所谓井损的水头损失有关。

(4)过滤器的安装部位。过滤器的安装部位影响管井的出水量及其他经济技术效益。因此,应安装在主要含水层的主要进水段;同时,还应考虑井内动水位深度。过滤器一般设在含水层中部厚度较大的含水层,可将过滤管与井壁管间隔排列,在含水层中分段设置,以获得较好的出水效果。对多层承压含水层,应选择含水性最强的含水段安装过滤器。潜水含水层若岩性为均质,应在含水层底部的1/2~1/3厚度内设过滤器。

4.沉沙管

沉沙管又称沉淀管,可起到过滤器不致因沉沙堵塞而影响进水的作用。一般直径与过滤器相同,长度通常为2~10m,可按井深确定。

(二)出水量计算

根据地下水构筑物渗流运动的求解方法,井的出水量计算公式通常有两类,即理论公式与经验公式。在工程设计中,理论公式多用于根据水文地质初步勘察阶段的资料进行的计算,其精度差,故只适用于考虑方案或初步设计阶段;经验公式多用于水文地质详细勘察和抽水试验基础上进行的计算,能较好地反映工程实际情况,故通常适用于施工图设计阶段。

井的实际工作情况十分复杂,因而其计算情况也是多种多样的。例如,根据地下水流动情况,可以分为稳定流与非稳定流、平面流与空间流、层流与紊流或混合流;根据水文地质条件,可分为承压与无压、有无表面下渗及相邻含水层渗透、均质与非均质、各向同性与各向异性;根据井的构造,又可分为完整井与非完整井。实际计算中都是以上各种情况的组合。管井出水量计算的理论公式很多,以下仅介绍几种基本公式。

1.稳定流情况下的管井出水量计算

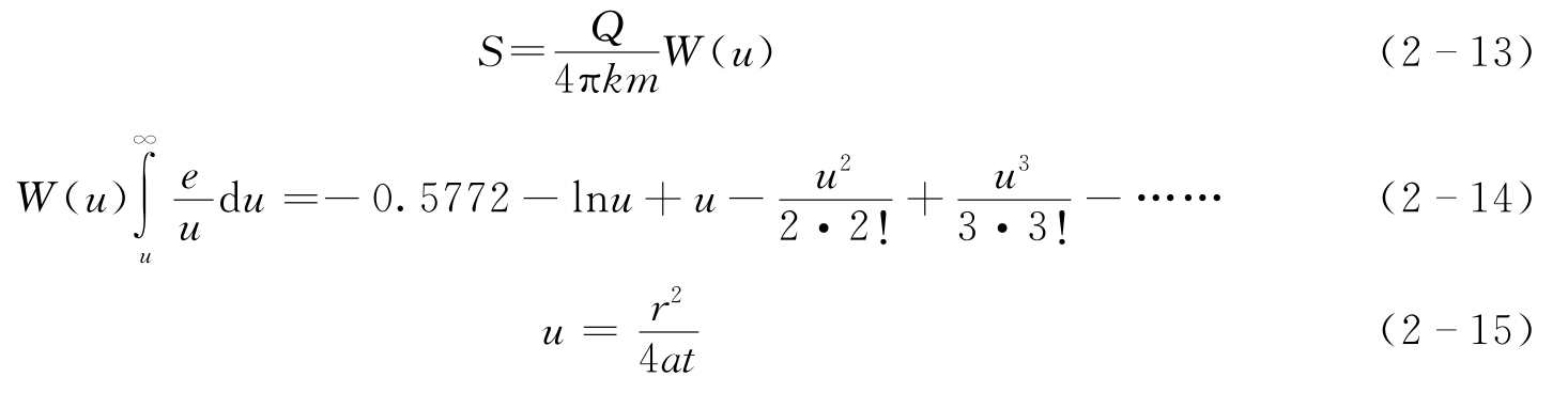
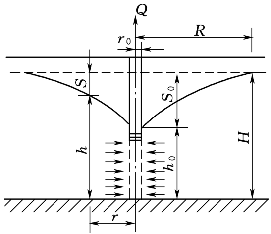
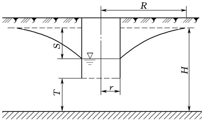
(1)承压含水层完整井,如图2-8所示。承压含水层完整井出水量为

式中 Q——井的出水量,m3/d;

S——出水量为Q时,含水层中距井中心r处的水位下降值;

图2-8 承压含水层完整井计算简图

r0—井的半径;S0—承压含水层水位与井内动水位的高差;h0—动水位到承压含水层底板的距离

m——含水层的厚度,m;

k——渗透系数,m/d;

R——影响半径,m。

如已知井的出水量Q,则可由式(2-4)求得含水层中任意点的水位下降值S,即

图2-9 无压含水层完整井计算简图

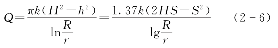
(2)无压含水层完整井,如图2-9所示。无压含水层完整井出水量为

式中 H——含水层的厚度,m;

h——含水层中距井中心r处的水位值,m;

S——与h相对应的点的水位下降值;

其余符号意义同前。

若已知出水量Q,则由式(2-6)求得含水层中任意点的水位下降值S,即

计算时,kR等水文地质参数比较难以确定,并且k值对计算结果影响较大,故应力求符合实际。

上述为裘布依(Dupuit)公式,它是在下列假设基础上用一般数学分析方法推导而得,假设地下水处于稳定流、层流、均匀缓变流状态;水位下降漏斗的供水边界是圆筒形的;含水层为均质、各向同性、无限分布;隔水层顶板与底板是水平的。显然,是不可能存在上述理想状态的水井,而且公式的水文地质参数(kR)也难以准确确定,因此理论公式在实际应用上有一定的局限性。

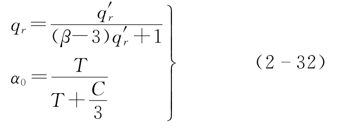
(3)承压含水层非完整井,如图2-10所示。非完整井抽水时,流线呈复杂的空间流状态。马斯盖特(Muskat)应用空间源汇映射和势流量叠加原理推导出下面的非完整井的理论公式:

式中 h——过滤器插入含水层的相对深度;

A——根据h值确定的函数值,A=f(h),其计算辅助图表如图2-11所示;

l——过滤器长度,m;

S0——承压含水层水位与井内动水位的高差;

其余符号意义同前。

图2-10 承压含水层非完整井计算简图

r0—井的半径;h0—动水位到承压含水层底板的距离

图2-11 计算辅助图表

同完整井相比,在相同条件下用非完整井取同等水量,水流将克服更大的阻力。若利用完整井出水量计算公式计算非完整井出水量时,可将含水层中水位下降值(S)分解成两部分,即对应完整井该点水位下降值和附加水位下降值(ΔS),根据式(2-4)和式(2-8)求得ΔS,即

式中符号意义同前。

若插入含水层的过滤器长度与含水层厚度相比很小,即当,则有

,由式 (2 10)求得的Q的误差不大于10%,且无须确定难以估计的R值。

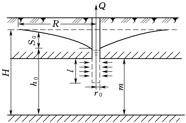
(4)无压含水层非完整井。无压含水层非完整井可用式(2-11)计算:

式中 A——根据h值确定的函数值,A=fh),其函数曲线如图2 12所示,其中

其余符号意义同前。

式(2-11)表示井的出水量是根据分段解法由两部分出水量近似叠加而得的,即图2-12中Ⅰ—Ⅰ线以上的无压含水层完整井和Ⅰ—Ⅰ线以下的承压含水层非完整井出水量之和,由式(2-6)和式(2-8)组合而成。

若以式(2-6)计算无压含水层非完整井的出水量时,附加水位下降值应为

图2-12 无压含水层非完整井计算简图

r0—井的半径;S0—无压含水层水位与井内动水位的高差;h0—动水位到无压含水层底板的距离

式中符号意义同前。

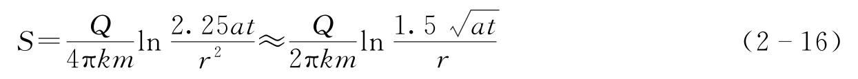
2.非稳定流情况下管井出水量的计算

自然界地下水运动过程中井并不存在稳定态,所谓稳定流也只是在有限时间段的一种暂时平衡现象。然而,地下水运动十分缓慢,尤其是当地下水开发规模与天然补给相比很小时可以近似地视为稳定流,故稳定流理论概念仍有广泛实用的价值。当开发规模扩大、地下水补给不足时,地下水位发生明显的、持续的下降,就要求用非稳定流理论来解释地下水的动态变化过程。

包含时间变量的泰斯(Theis)公式是非稳定流理论的基本公式。Theis公式除了在抽水试验中确定水文地质参数有重要意义外,在地下水开发中可以用于预测水源建成后地下水位的变化。

承压含水层完整井的Theis公式为

式中 S——抽水t时间后任意点的水位下降值,m;

Q——井的出水量,m3/d;

r——任意点至井的距离,m;

t——抽水延续时间,d;

W(u)——井函数,可在专门编制的图表中查得;

a——承压含水层压力传导系数,m2/d,其中此处s为弹性储留系数,as由现场扬水试验测定;

其余符号意义同前。

对于透水性良好的密实破碎岩石层中的低矿化度水而言,a值一般为104~106m2/d;在透水性差的细颗粒含水层中,a值在103~105m2/d之间。

u很小,如u≤0.01时,式(2-13)可简化为

无压含水层完整井的Theis公式为

式中 h——含水层任意点动水位高度,m;

a——承压含水层压力传导系数,m2/d,其中此处μ为给水度;

h′——抽水期间含水层的平均动水位高度;

其余符号意义同前。

在无压含水层中,a值通常在100~5000m2/d之间。

u很小,如u≤0.01时,式(2-17)可简化为

在水文地质勘探中,通常可根据扬水试验资料中的St,利用Theis公式推算含水层常数s(储留系数)、TT=km),此种计算方法用普通的代数方法求解是困难的,但用图解法可取得满意的结果,有关算法可参看专门文献或有关手册。如已知sT,也可利用Theis公式计算SQ,多用于给水工程设计及运行管理,这种情况计算并不难,可直接由Theis公式进行计算。

Theis公式是在以下假设的基础上推导的:含水层均质、各向同性、水平且无限广阔;含水层的导水系数T(对无压地层T=kH)为常数;当水头或水位降落时,含水层的排水瞬时发生;含水层的顶板、底板不透水等。实际上,虽然不存在符合上述假定条件的情况,然而非稳定流理论的发展,已出现不少适应不同条件的公式,如越流含水层、存在延迟给水的无压含水层的计算公式,非完整井的计算公式等。

3.经验公式

在工程实践中,常直接根据水源或水文地质相似地区的抽水试验所得的Q-S曲线进行井的出水量计算。这种方法的优点在于不必考虑井的边界条件,避免确定水文地质参数,能够全面地概括井的各种复杂影响因素,因此计算结果比较符合实际情况。由于井地构造形式对抽水试验结果有较大的影响,故试验井的构造应尽量接近设计井,否则应进行适当的修正。

经验公式是在抽水试验的基础上拟合出水量Q和水位下降值S之间的关系,据此可以求出在设计水位降落时井的出水量,或根据已定的井出水量求出井的水位下降值。

Q-S曲线有以下几种类型:直线型、抛物线型、幂函数型、半对数型。其对应的经验公式见表2-3。

表2-3 单井出水量经验公式

以上4种公式适用于承压含水层,但当无压含水层的抽水试验资料符合上述类型时,也可近似应用。

选用上述经验公式的方法如下:

(1)抽水试验应有3次或更多次水位下降,在此基础上绘制Q-S曲线。

(2)如所绘制的Q-S曲线是直线,则可用直线型公式计算;如果不是直线,需进一步判别,可适当改变坐标系,使Q-S曲线转变为直线(表2-3),这样可以经过复杂的运算,选定符合试验资料Q-S曲线的经验公式。

为了选择经验公式,需将所有的试验数据按表2-4列出。

表2-4 抽水试验数据

然后根据表2-4的数据作出下列图形:

假如图形中S0=f(Q)为直线,则井的出水量呈抛物线增长,这时可用抛物线型公式计算。

假如图形中lnQ=f(lnS)为直线,则井的出水量按幂函数增长,这时可用幂函数型公式计算。

假如图形中Q=f(lnS)为直线,则井的出水量按半对数函数增长,这时可用半对数型公式计算。

二、大口井

大口井是开采浅层地下水的一种主要取水构筑物,是我国除管井之外的另一种应用比较广泛的地下水取水构筑物。小型大口井构造简单、施工简便易行、取材方便,故在农村及小城镇供水中广泛采用。在城市与工业的取水工程中则多用大型大口井。对于埋藏不深、地下水位较高的含水层,大口井与管井的单位出水能力的投资往往不相上下,这时取水构筑物类型的选择就不能单凭水文地质条件及开采条件,而应综合考虑其他因素。

图2-13 大口井的构造

1—井筒;2—吸水管;3—井壁进水孔;4—井底反滤层;5—刃脚;6—通风管;7—排水坡;8—黏土层

大口井的优缺点:大口井不存在腐蚀问题,进水条件较好,使用年限较长,对抽水设备型式限制不大,如有一定的场地且具备较好的施工技术条件,可考虑采用大口井。但是,大口井对地下水位变动适应能力很差,在不能保证施工质量的情况下会拖延工期,增加投资,亦易产生涌沙(管涌或流沙现象)、堵塞问题。在含铁量较高的含水层中,这类问题更加严重。

(一)大口井的结构构造

大口井的主要组成部分是上部结构、井筒及进水部分,如图2-13所示。

1.上部结构

上部结构情况主要与水泵站同大口井分建或合建有关,这点又取决于井水位(动水位与静水位)变化幅度、单井出水量、水源供水规模及水源系统布置。如果井的水位下降值较小、单井出水量大、井的布置分散或者相反、仅1~2口井即可达到供水规模要求时,可考虑泵站与井合建。

为便于安装、维修、观测水位,泵房底板多设有开口,开口布置形式有3种:半圆形、中心筒形及人孔,如图2-14所示。开口形式主要应根据泵站工艺布置及建筑、结构方案确定。

图2-14 大口井泵站底板开口形式

1—半圆形;2—中心筒形;3—人孔

当地下水位较低或井水位变化幅度大时,为避免合建泵房埋深过大,使上部结构复杂化,可考虑深井泵取水。泵房与大口井分建,则大口井上部可仅设井房或者只设盖板,后一种情况在低洼地带(河滩或沙洲),可经受洪水冲刷和淹没(需设法密封)。这种情况下,构造简单,但布置不紧凑。

2.井筒

井筒通常用钢筋混凝土浇筑或用砖、石、预制混凝土圈砌筑而成,包括井中水上部分和水下部分。其作用是加固井壁、防止井壁坍塌及隔离水质不良的含水层。井筒的直径应根据水量计算、允许流速校核及安装抽水设备的要求来确定。井筒的外形通常呈圆筒形、截头圆锥形和阶梯圆筒形等,如图2-15所示。其中的圆筒形井筒易于保证垂直下沉,节省材料,受力条件好,利于进水。有时在井筒的下半部设有进水孔。在深度较大的井筒中,为克服较大下沉摩擦阻力,常采用变截面结构的阶梯状圆形井筒。

图2-15 大口井井筒外形

用沉井法施工的大口井,在井筒的最下端应设有刃脚。刃脚一般由钢筋混凝土构成,施工时用以切削地层,便于井筒下沉。为减少井筒下沉时的摩擦力和防止井筒在下沉过程中受障碍物的破坏,刃脚外缘应比井筒凸出10cm左右。

3.进水部分

进水部分包括井壁进水孔(或透水井壁)和井底反滤层。井壁进水孔分水平孔和斜形孔两种形式。

水平孔施工容易,采用较多。壁孔一般为100~200mm直径的圆孔或(100×150)mm~(200×250)mm矩形孔,交错排列于井壁,其孔隙率在15%左右。为保持含水层的渗透性,孔内装填一定级配的滤料层,孔的两侧设置不锈钢丝网,以防滤料漏失。水平孔不易按级配分层加填滤料,为此也可应用预先装好滤料的铁丝笼填入进水孔。

斜形孔多为圆形,孔倾斜度不宜超过45°,孔径为100~200mm,孔外侧设有格网。斜形孔滤料稳定,易于装填、更换、是一种较好的进水孔形式。

进水孔中滤料可分两层填充,每层为半井壁厚度。与含水层相邻一层的滤料粒径,可按式(2-19)确定:

式中 D——与含水层相邻一层滤料的粒径;

di——含水层颗粒的计算粒径,细、粉砂di=d40,中砂di=d30,粗砂di=d20d40d30d20分别表示含水层颗粒中某一粒径,小于该粒径的颗粒重量占总重量的40%、30%、20%。

大口井井壁进水孔易于堵塞,多数大口井主要依靠井底进水,故大口井能否达到应有的出水量,井底反滤层质量是重要因素,如反滤层铺设厚度不均匀或滤料不合规格都有可能导致堵塞和翻砂,使出水量下降。

(二)大口井出水量估算

大口井出水量也可用理论公式和经验法计算。经验法与管井相似,本节只介绍理论公式计算大口井出水量的方法。

因大口井有井壁、井底或井壁井底同时进水几种情况,所以大口井出水量计算不仅随水文地质条件而异,还与进水方式有关。

1.从井壁进水的大口井

此时大口井出水量计算按完整井计算公式进行计算。

2.从井底进水的大口井

从井底进水的有承压含水层(图2-16)和无压含水层(图2-17)两种情况。

图2-16 承压含水层中井底进水大口井计算简图

承压含水层大口井出水量计算公式为

图2-17 无压含水层井底进水大口井计算简图

式中 Q——大口井出水量,m3/d;

S——出水量为Q时井的水位降落值,m;

r——井的半径,m;对于方形大口井,应按r=0.6b关系换算;对于正多边形大口井,可使式中的半径等于多边形的内切及外接圆的平均值;

k——渗透系数,m/d;

R——影响半径,m;

m——承压含水层厚度,m。

当含水层较厚(m≥2r)时,式(2-20)可简化为

当含水层很厚(m≥8r)时,还可简化为

式(2-22)非常简便,并且不包括难以确定的R值,对于估算大口井出水量,有实用意义。

无压含水层大口井出水量的计算公式为

式中 H——无压含水层厚度,m;

T——大口井井底至不透水层的距离,m;

其余符号意义同前。

当含水层较厚(H≥2r)时,式(2-23)可以简化为

3.井壁井底同时进水的大口井

计算井壁井底同时进水(图2-18)的大口井出水量时,可用分段解法。对于无压含水层,可以认为井的出水量是由无压含水层中的井壁进水量和承压含水层中的井底进水量的总和,即

式中符号意义同前。

图2-18 无压含水层井壁井底进水大口井计算简图

在确定大口井尺寸、进水部分构造及完成出水量计算之后,应校核大口井进水部分的进水流速。井壁和井底的进水流速都不宜过大,以保持滤料层的渗流稳定性,防止发生涌砂现象。

(三)大口井的设计要点

大口井的设计步骤和管井类似,但还应注意以下问题:

(1)大口井应选在地下水补给丰富、含水层透水性良好、埋藏浅的地段。集取河床渗透水的大口井,除考虑水文地质条件外,应选在河漫滩或一级冲积阶地上。

(2)适当增加井径是增加水井出水量的途径之一。同时,在相同的出水量条件下,采用较大的直径,也可减小水位降值,降低取水耗电,降低进水流速,延长使用年限。

(3)由于大口井井深不大,地下水位的变化对井的出水量和抽水设备的下沉运行有很大影响。对于开采河床地下水的大口井,因河水位变幅大,更应注意这一情况。为此,在计算井的出水量和确定水泵安装高度时,均应以枯水期最低设计水位为准,抽水试验也以在枯水期进行为宜。此外,还应注意到地下水位区域性下降的可能性以及由此引起的影响。

三、辐射井

辐射井是由集水井(垂直系统)及水平向或倾斜状的进水管(水平系统)联合构成的一种井型,属于联合系统的范畴。因水平进水管是沿集水井半径方向铺设的辐射状渗入管,故称这种井为辐射井。由于扩大了进水面积,其单井出水量为各类地下取水构筑物之首。高产的辐射井日产水量可达10万m3以上。因此,也可作为旧井改造和增大出水量的措施。

图2-19 单层辐射管辐射井

(一)辐射井的型式

辐射井按集水井本身取水与否分为:集水井井底与辐射管同时进水与集水井井底封闭仅辐射管进水两种型式。前者适用于厚度较大的含水层。

按辐射管铺设方式,辐射井有单层辐射管(图2-19)和多层辐射管两种。前者适用于只开采一个含水层时;后者在含水层较厚或存在两个以上含水层,且水头相差不大时采用。

辐射井按其集取水源及辐射管平面布置方式的不同,又可分为集取一般地下水[图2-20(a)]、集取河流或其他地表水体渗透水[图2-20(b)、(c)]、集取岸边地下水和河流渗透水的辐射井[图2-20(d)]、集取岸边和河床地下水的辐射井[图5-20(e)]等型式。

图2-20 按补给条件与布置方式分类的辐射井

(二)辐射井的结构构造

1.集水井

集水井又称竖井,其作用是汇集由辐射管进来的水和安装抽水设备等,对于不封底的集水井还兼有取水井的作用。我国一般采用不封底的集水井,以扩大井的出水量。

集水井的深度视含水层的埋藏条件而定。多数深度在10~20m之间,也有深达30m者。根据黄土区辐射井的经验,为增大进水水头,施工条件允许时,可尽量增大井深,要求深入含水层深度不小于15~20m。

2.辐射孔(管)

松散含水层中的辐射孔中一般均穿入滤水管,而对坚固的裂隙岩层,可只打辐射孔而不加设辐射管。辐射管上的进水孔眼可参照滤水管进行设计。

辐射管的材料多为直径为50~200mm、壁厚6~9mm的穿孔钢管,也有用竹管和其他管材的。管材直径大小与施工方法有密切关系。当采用打入法时,管径宜小些;若为钻孔穿管法,管径可大些。

辐射管的长度,视含水层的富水性和施工条件而定。当含水层富水性差、施工容易时,辐射管宜长一些;反之,则短一些。目前生产中,在砂砾卵石层中多为10~20m;在黄土类土层中多为100~120m。

辐射管的布置形式和数量多少,直接关系到辐射井出水量的多少与工程造价的高低,因此应密切结合当地水文地质条件与地面水体的分布以及它们之间的联系,因地制宜地加以确定。在平面布置上,如在地形平坦的平原区和黄土平原区,常均匀对称布设6~8根;如地下水水面坡度较陡、流速较大时,辐射管多要布置在上游半圆周范围内,下游半圆周少设,甚至不设辐射管;在汇水洼地、河流弯道和河湖库塘岸边,辐射管应设在靠近地表水体一边,以充分集取地下水(图2-21)。在垂直方面上,当含水层薄但富水性好时,可布设1层辐射管;当含水层富水性差但厚度大时,可布设2~3层辐射管,各层间距3~5m,辐射管位置应上下错开。辐射管尽量布置在集水井底部,最底层辐射管一般离集水井底1~1.5m,以保证在大水位降条件下取得最大的出水量。最顶层辐射管应淹没在动水位以下,至少应保持3m以上水头。

图2-21 辐射管平面布置示意图

(三)辐射井出水量的确定

由于辐射井的结构特殊,抽水时水力条件与管井、大口井不同。实验表明,辐射井抽水时水位降落曲线由两部分组成(图2-22);在辐射管端以外呈上凸状(类似普通井);在辐射管范围内呈下凹状。水流运动的方向也不相同,辐射管端以外,地下水呈水平渗流,辐射管范围内以垂直渗流为主。

因受辐射管的影响,距井中心等半径处,地下水位高低不同,辐射管顶上水位较低,两辐射管之间水位较高,呈波状起伏。其等水位线图如图2-23所示。

图2-22 辐射井水力特征图

图2-23 辐射井抽水时等水位线示意图

1—集水井;2—辐射管

目前,辐射井出水量的确定尚无较准确的理论计算方法,多按抽水试验资料确定。若缺乏资料,在初步规划时,可按下列方法估算。

1.等效大井法

将辐射井化引为一口虚拟大口井,出水量与它相等,然后可按与潜水完整井相类似的公式计算辐射井的出水量,即

式中 Q——辐射井的出水量,m3/d;

s0——井壁外侧的水位降落值,m;

rf——虚拟等效大口井的半径,m;

k——含水层的渗透系数,m/d;

R——辐射井的影响半径,m;

H——含水层厚度,m。

rf可用下列经验公式确定,即

式中 rf1——辐射管等长时的等效半径,m;

rf2——辐射管不等长时的等效半径,m;

l——单根辐射管的长度,m;

l——辐射管的总长度,m;

n——辐射管的根数。

2.渗水管法

将辐射管按一般渗水管看待。其出水量为

式中 α——干扰系数,变化较大,通常

r——辐射管的半径,m。

四、复合井

(一)复合井的构造及其适用条件

复合井是由非完整大口井和井底下设管井过滤器组成。实际上,它是一个大口井和管井组合的分层或分段取水系统(图2-24)。它适用于地下水水位较高、厚度较大的含水层,能充分利用含水层的厚度,增加井的出水量。模型试验资料表明,当含水层厚度大于大口井半径3~6倍,或含水层透水性较差时,采用复合井出水量增加显著。

(二)复合井计算

为了充分发挥复合井的效率,减少大口井与管井间的干扰,过滤器直径不宜过大,一般以200~300mm为宜,过滤器的有效长度应比管井稍大,过滤器不宜超过三根。

图2-24 复合井

对复合井的出水量计算问题,至今仍然研究甚少。一般只考虑井底进水的大口井与管井组合的计算情况。对于从井壁与井底同时进水的大口井,其井壁进水口的进水量可以根据分段解法原理很容易地求得。

复合井出水量计算采用大口井和管井的出水量计算方法,在分别求得二者单独工作条件下的出水量后,取二者之和,并乘以干扰系数。出水量的计算公式一般表示为

式中 Q——复合井出水量,m3/d;

Q1Q2——同一条件下大口井、管井单独工作时的出水量,m3/d;

α——互阻系数,α值与过滤器的根数、完整程度及管径等有关。

计算时,根据不同条件选择相应的等值计算公式。

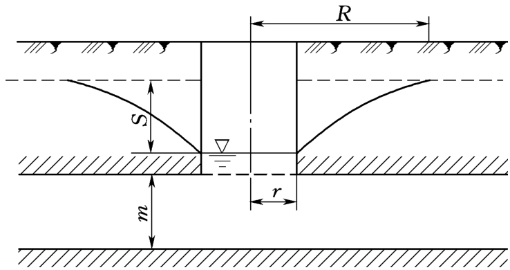
五、截潜流工程

在河床有大量冲积的卵石、砾石和砂等的山区间歇河流,或一些经常干涸断流,但却有较为丰富的潜流的河流中上游,山前洪积扇溢出带或平原古河床,可采用管道或渗渠来截取潜流,这种截取潜流的建筑物,一般统称为截潜流工程,即地下水截流工程。

截潜流工程的优点是:既可截取浅层地下水,也可集取河床地下水或地表渗水;集取的水经过地层的渗滤作用,悬浮物和细菌含量少,硬度和矿化度低,兼有地表水与地下水的优点;并且可以满足北方山区季节性河段全年取水的要求。其缺点是:施工条件复杂、造价高、易淤塞,常有早期报废的现象,应用受到限制。

小知识

坎儿井

坎儿井是开发利用地下水的一种很古老式的水平集水建筑物,适用于山麓、冲积扇缘地带,主要是用于截取地下潜水来进行农田灌溉和居民用水。

坎儿井的结构,大体上是由竖井、地下渠道、地面渠道和“涝坝”(小型蓄水池)四部分组成。吐鲁番盆地北部的博格达山和西部的喀拉乌成山,春夏时节有大量积雪和雨水流下山谷,潜入戈壁滩下。人们利用山的坡度,巧妙地创造了坎儿井,引地下潜流灌溉农田。坎儿井不因炎热、狂风而使水分大量蒸发,因而流量稳定,保证了自流灌溉。

截潜流工程通常由进水部分、输水部分、集水井、检查井和截水墙组成(图2-25)。

图2-25 截潜流工程示意图

1—等高线;2—河槽;3—引水渠;4—截水墙;5—集水井;6—扬水站;7—干河床;8—集水廊道

(一)截潜流工程的结构、型式与构造

1.截潜流工程的结构

截潜流工程通常由进水部分、输水部分、集水井、检查井和截水墙组成。

(1)进水部分。主要作用是集取地下潜流,多用当地材料砌筑的廊道或管道构成。集水管一般为穿孔钢筋混凝土管;水量较小时,可用穿孔混凝土管、陶土管、铸铁管;也可用带缝隙的干砌块石或装配式钢筋混凝土暗渠。带孔眼的钢筋混凝土管,一般就地人工浇筑制作,每节长度最好1m。每米长孔眼总面积为管壁总面积的5%~10%,如果管道结构允许,最好采用孔隙率8%~15%。管壁进水孔形式分圆形和长条形2种。圆形孔的孔径一般采用20~30mm,布置成梅花状,孔眼内大外小,以防堵塞。孔眼净距为2~2.5dd为孔眼直径)。长条形孔眼尺寸,一般宽为20mm,长为60mm,也有的长为100mm,条缝净间距为:纵向50~100mm,环向20~50mm。进水孔眼一般布置范围在1/3~1/2管径以上(从管底上算起)的管周壁上,下部一般不设孔眼,以防下部泥沙流入管内,造成管内淤积,影响集水管的集水效果。常用管径为400mm、500mm、600mm、800mm和1000mm等5种。埋设深度为2.0m、3.0m、4.0m、5.0m和6.0m等5种。

(2)输水部分。将进水部分汇集的水输送往明渠或集水井,以便自流引水或集中抽水。输水管道一般不进水,铺设有一定的坡度。

(3)集水井。用于储存输送来的地下水,通过提水机具,将地下水提到地面上来。若地形条件允许自流时可不设集水井,直接引取地下水储蓄或自流灌溉,可以利用闸门调节水量。

(4)检查井。便于检修、清通,集水管端部、转角、变径处以及每50~150m均应设检查井。检查井形式分为全埋式、半埋式和地面式3种。全埋式即检查井全部埋于地下,井盖略高于集水管,且上部填以反滤层。适用于河水冲刷程度较大,渗渠不需要经常检修与清扫的给水工程中。其缺点是井埋设较深,寻找或检修均很不方便。半埋式检查井是将井口埋在地面下0.5~1.0m,优点是除有利于人防保护外,还可防止被洪水冲毁井口;缺点是由于井盖埋在地下,一旦检修,不易找出井位。在集取地表水为主的渗渠中,多采用半埋式检查井。地面式检查井,即井口露出地面,多用于集取地下水为主的渗渠,便于检修,但必须注意采用封闭式井盖。井盖材料可用铸铁或钢筋混凝土。井盖底部周围用胶垫圈将井盖垫好止水,然后用螺栓将井盖固定在井座上,以防泥沙从井盖缝隙进入渗渠。

(5)截水墙。又称暗坝或地下坝。当含水层小于10~15m、不透水层浅时,为了增大截潜水量,用当地材料拦河设置不透水墙,将集水管道或廊道埋设于墙脚迎水面一侧,建成完整式截潜工程;如冲积物厚度较大,用截水墙不容易截断潜流时,可视具体条件,不设置截水墙或部分设置截水墙,构成不完整截潜工程。

2.截潜流工程型式与构造

(1)按截潜流工程的完整程度的不同可分为2种类型:①完整式,适用于砂砾石层厚度不大的河床地区;②非完整式,适用于砂砾石层厚度较大的河床地区。

(2)按截潜流工程结构和流量大小的不同又可分为以下3种:①明沟式,适用于流量较大的地区;②暗管式,适用于流量较小的地区;③盲沟式,用卵砾石回填的集水沟,适用于流量较小的地区。

在集水管外须设置人工反滤层,以防止含水层中细小砂粒堵塞进水孔或使集水管产生淤积。人工反滤层对于渗渠十分重要,它的质量将影响渗渠的出水量、水质和使用年限。

铺设在河滩和河床下的渗渠构造如图2-26所示。人工反滤层一般为3~4层,各层级配最上一层填料粒径是含水层或河砂颗粒粒径的8~10倍,第二层填料粒径是第二层的2~4倍,以此类推,但最下一层填料的粒径应比进水孔略大。

图2-26 渗渠人工反滤层构造

为了避免各层中颗粒出现分层现象,填料颗粒不均匀系数(其中,d60d10为填料颗粒中按全量计算有60%、10%的粒径小于这一粒径)。各层填料厚度原则上应大于4~5dmaxdmax为填料中最大颗粒的粒径),为安全起见,可取200~300m。

为便于检修,在集水管直线段每隔50~100m及端部、转角处、断面变换处设检查井。洪水期能淹没的检查井井盖应密封,并用螺栓固定,以防洪水冲开井盖,涌入泥沙,淤塞渗渠。

3.截潜流工程的位置选择

截潜流工程的选择是其设计中一个重要并且复杂的问题(对集取河床渗透水的渗渠更是如此),有时甚至关系到工程的成败。选择渗渠位置时不仅要考虑水文地质条件,还要考虑河流的水文条件,要预见到取水条件的种种变化,其选择原则是:

(1)选择在河床冲积层较厚的河段,并且应避免有不透水的夹层(如淤泥夹层之类)。

(2)选择在水力条件良好的河段,如河床冲淤相对平衡河段(靠近主流、流速较急、有一定冲刷力的凹岸,避免河床淤积影响其渗透能力);河床稳定的河段,(因河床变迁、水流偏离渗渠都将影响其补给,导致出水量降低。)这必须通过对长期观测资料进行分析和调查研究确定。

(3)选择具有适当地形的地带,以利于取水系统的布置,减少施工、交通运输、征地及场地整理、防洪等有关费用。

(4)如果考虑建立潜水坝,则应选择河谷(指河床冲积层下的基岩)束窄、基岩地质条件良好的地带。

(5)应避免易被工业废弃物淤积或污染的河段。

4.截潜流工程的布置方式

截潜流工程的布置是发挥其工作效益、降低工程造价与运行维护费用的关键之一。在实际工程中,应根据补给来源、河段地形与水文、施工条件等而定,一般有以下几种布置方式。

图2-27 平行于河流布置

(1)平行于河流布置。当河床地下水和岸边地下水均较充沛且河床较稳定时,可采用平行于河流沿河漫滩布置(图2-27),以便同时集取河床地下水和岸边地下水,施工和检修均较方便。工程通常敷设于距河流30~50m处的河漫滩下;如果河水较浑,则以距河流100~150m为好。

(2)垂直于河流布置。当岸边地下水补给较差、河床含水层较薄、河床地下水补给较差且河水较浅时,可以采用此种方式集取地表水(图2-28)。这种布置方式以集取地表水为主,施工和检修均较困难,且出水量、水质受河流水位、河水水质影响较大,且其上部含水层极易淤塞,造成出水量迅速减少。

(3)平行和垂直组合布置。此类布置方式能较好地适应河流及水文地质条件的多种变化,能充分截取岸边地下水和河床渗透水,出水量比较稳定,如果在冬季枯水期可以得到岸边地下水的补给(图2-29)。

图2-28 垂直于河流布置

图2-29 平行和垂直组合布置

不论采用哪种布置方式,都应经过经济技术比较,因地制宜地确定。

5.截潜流工程出水量计算

(1)河床无水时出水量计算。河床无水时的截潜流工程又分为完整式和非完整式两种情况。

1)完整式(图2-30)。单侧进水的完整式集水量按式(2-30)计算:

式中 Q——集水量,m3/d;

I——潜水降落曲线的平均水力坡度;

K——含水层渗透系数,m/d;

H——含水层厚度,m;

L——集水段的长度,m;

h0——集水廊道外侧水层厚度,h0=(0.15~0.30)H

R——影响半径,,m。

2)非完整式(图2-31)。单侧进水的非完整式集水量采用式(2-31)计算:

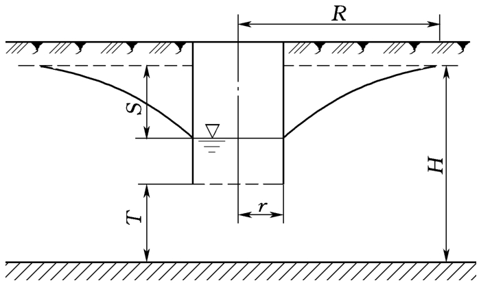
图2-30 单侧进水完整式出水量计算图

x—潜水降落曲线上任一点到廊道侧墙的水平距离;h—潜水降落曲线上任一点到廊道底的垂直距离

图2-31 单侧进水非完整式出水量计算图

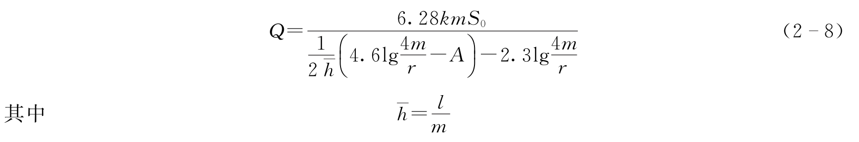
式中 qr——引用水量,可按αβ查图232求得;

H1——潜水面到廊道底的垂直距离,m;

H0——潜水面到廊道内水面的垂直距离,m;

h0——廊道外侧的水深,m;

C——廊道宽度1/2,m;

T——廊道底到不透水层的距离,m;

其他符号意义同前。

图2-32 求qr值曲线图

图2-33 求q′r值曲线图

β>3时,qr可按式(2-32)计算:

=fα0)可由图2-33所示曲线查得。

(2)河床有水时出水量计算。

1)非完整式(图2-34)。非完整式集水量按式(2-33)计算:

式中 α——与河水浊度有关的校正系数,当较大浊度时可采用α=0.3,中等浊度时α=0.6,小浊度时α=0.8;

H——集水管顶部的水头高度;

H0——集水管外对应管内剩余压力的水头高度(当管内为一个标准大气压时,H0=0);

T——河床透水层厚度;

d——集水管直径;

h——集水管的埋深,即河床至管底的深度。

T值极大时,即T=∞,式(2-35)可简化为

2)完整式(图2-35)。完整式集水量计算公式与非完整式基本一致,只是A值不同,按式(2-37)计算:

图2-34 河床下非完整式集水管

图2-35 河床下完整式集水管

六、渗渠

(一)渗渠的型式

渗渠一般指为拦截并收集重力流动的地下水而水平埋设在含水层中的集水管(渠道),又称截伏流。渗渠主要用于集取浅层地下水,可铺设在河流、水库等地表水体之下或旁边,集取河床地下水或地表渗透水。由于集水管是水平铺设的,也称水平式地下水取水构筑物。

渗渠,按其补给水源可分为集取地表水为主的渗渠和集取地下水为主的渗渠两种。前者是把渗渠埋设在河床下,集取河流垂直渗透水;后者是把渗渠埋设在河岸边滩地下,以集取部分河床潜流水和来自河岸上第四纪含水层中的地下水。集取地下水为主的渗渠,一般水质较好,水量比较稳定,效果较好,使用年限长,因而采用的也较多;至于集取地表水为主的渗渠,产水量虽然很大,但受河水水质的变化影响甚为明显,如当河水较浑浊时,渗渠出水水质往往很差,而且容易淤塞,检修管理麻烦,使用年限也较短;如果河水浊度常年较小,上述缺点可能减少。

渗渠的埋深一般在4~7m,很少超过10m。因此,渗渠通常只适用于开采埋藏深度小于2m,厚度小于6m的含水层。渗渠按埋设位置和深度不同,又可分为完整式(图2-36)和非完整式(图2-37)两种。

图2-36 完整式渗渠

1—集水管;2—集水井;3—泵站;4—检查井

图2-37 非完整式渗渠

1—集水管;2—集水井;3—泵站;4—检查井

完整式渗渠是在薄含水层的条件下,埋设在基岩上;非完整式渗渠是在较厚的含水层条件下,埋设在含水层中。完整式渗渠之所以埋设在基岩上,主要靠加大水位降落量,最大限度地开采地下水,从而增大渗渠产水量。但在较厚含水层中,为了减少施工困难,降低工程造价,多把渗渠设在施工技术和抽水设备允许条件下的含水层一定深度中,同样可以集取较多的地下水。从生产实践中看,采用完整式渗渠比较普遍,产水量较大;而采用非完整式渗渠却较少,因为在较厚含水层中,采用大口井或管井取水,工程造价要比渗渠造价低得多,不仅开采量大,而且施工容易,进度快。除非打井机具缺乏,而用水量又甚小的情况下,才采用非完整式渗渠。无论集取地表水为主的渗渠,还是集取地下水为主的渗渠,都可以按其所在的含水层厚度不同而选用完整式或非完整式渗渠。

(二)渗渠的位置选择和布置方式

渗渠的位置选择是渗渠设计中一个复杂的问题。对于集取河床潜流水的渗渠位置不仅要考虑水文地质条件,还要考虑河流水文条件,其一般原则如下:

(1)渗渠应选择在河床冲积层较厚,颗粒较粗的河段,并应避开不透水的夹层。

(2)渗渠应选择在河流水利条件良好的河段,避免设在有壅水的河段和弯曲河段的凸岸,以防泥沙沉积,影响河床的渗透能力,但也要避开冲刷强烈的河岸,否则可能增加护岸工程费用。

(3)渗渠应设在河床稳定的河岸,河床变迁,主流摆动不定,都会影响渗渠补给,导致出水量的降低。

渗渠平面布置,应根据水文、水文地质、补给来源以及河水水质等条件而定,一般可分为:平行于河流、垂直于河流和平行与垂直于河流组合等3种形式。无论哪种形式,都适用于集取地表水为主的渗渠和集取地下水为主的渗渠。一般大、中型渗渠取水工程,由于取水量较大,集水管较长,采用平行于河流或平行与垂直于河流组合的两种形式比较多,而采用垂直于河流的形式较少;至于小型渗渠取水工程,由于取水量较小,集水管较短,占地不多,多采用垂直于河流的形式,可以较多地截取地下水和河床潜流水。哪种形式经济合理,应通过经济技术比较,因地制宜地选用。

(三)渗渠的构造

渗渠通常由水平集水管、集水井、检查井和泵站所组成。

1.集水管

集水管一般为穿孔钢筋混凝土管;水量较小时,可用穿孔混凝土管、陶土管、铸铁管;也可用带缝隙的干砌块石或装配式钢筋混凝土暗渠。

带孔眼的钢筋混凝土管,一般就地人工浇筑制作,每节长度最好1m。每米长孔眼总面积为管壁总面积的5%~10%,如果管道结构允许,最好采用孔隙率8%~15%。管壁进水孔形式分圆形和长条形2种。圆形孔的孔径,一般采用20~30mm,布置成梅花状,孔眼内大外小,以防堵塞。孔眼净距为2~2.5dd为孔眼直径)。长条形孔眼尺寸,一般宽为20mm,长为60mm,也有的长为100mm,条缝净间距为:纵向50~100mm,环向20~50mm。进水孔眼一般布置范围在1/3~1/2管径以上(从管底上算起)的管周壁上,下部一般不设孔眼,以防下部泥沙流入管内,造成管内淤积,影响集水管的集水效果。常用管径为400mm、500mm、600mm、800mm和1000mm等5种。埋设深度为2.0m、3.0m、4.0m、5.0m和6.0m等5种。

2.人工反滤层

为了防止含水层中细小颗粒泥沙进入集水管中,造成管内淤积,必须在集水管和含水层中间铺设人工反滤层。人工反滤层设计、铺设的好坏,也是渗渠出水效果好坏的重要条件之一。因而滤层厚度和滤料颗粒级配是否合理,直接影响渗渠产水量、出水水质和使用年限。人工反滤层设计要根据渗渠取水形式不同而异,即分为集取地下水为主和集取地表水为主的渗渠人工反滤层两种。

反滤层的层数、厚度和滤料粒径计算,和大口井井底反滤层相同。集取地下水为主渗渠的人工反滤层如果缺乏颗粒直径分析资料,而含水层又为砂卵石时,可按下列规格选用:第一层粒径为5~10mm,厚度为300mm;第二层粒径为10~30mm,厚度200~300mm;第三层粒径为30~70mm,厚度为200mm;总厚度为700~800mm。

集取地表水为主的渗渠人工反滤层的滤料级配,外层以上,一般回填河砂,但必须干净,不要混有杂草泥块,粒径一般0.25~1.0mm,厚约1m。下面3层反滤层分别采用粒径为1~4mm、4~8mm、8~32mm,各层厚度约150mm,也有的粒径略大些。但总的说来,要比集取地下水为主的渗渠反滤层滤料粒径小,尤其是外层滤料粒径要小些。反滤层总厚度要厚些为宜,但这要看河水水质情况而定,水质好的,可以薄些;水质差的,较浑浊的,反滤层要厚些。这主要因为河水浊度常年变化较大,如果反滤层厚度太薄,粒径略大,会影响渗渠的出水水质。

3.检查井

为便于检修、清通,集水管端部、转角、变径处以及每50~150m均应设检查井。检查井型式分为全埋式、半埋式和地面式3种。全埋式即检查井全部埋于地下,井盖略高于集水管,且上部填以反滤层。适用于河水冲刷程度较大,渗渠不需要经常检修与清扫的给水工程中。其缺点是井埋设较深,寻找或检修均很不方便。半埋式检查井是将井口埋在地面下0.5~1.0m,优点是除有利于人防保护外,还可防止被洪水冲毁井口;缺点是由于井盖埋在地下,一旦检修,不易找出井位。在集取地表水为主的渗渠中,多采用半埋式检查井。地面式检查井,即井口露出地面,多用于集取地下水为主的渗渠,便于检修,但必须注意采用封闭式井盖。井盖材料可用铸铁或钢筋混凝土。井盖底部周围用胶垫圈将井盖垫好止水,然后用螺栓将井盖固定在井座上,以防泥沙从井盖缝隙进入渗渠。

七、引泉工程

在有条件地区,选用泉水作为中、小型供水系统的水源是比较经济合理的,泉水水质好,取集方便,大大节约了设施费用,也便于日常的运营管理。特别对于云南、福建、广东、广西等省(自治区)的一些山区,泉水较多,不仅水质好,水量能保证,而且水源水位有一定的高度,可实现重力供水,节省电费。

小知识

泉是地下水出露于地面的天然露头。有相当大一部分的地下水是以泉的形式排泄的,所以泉是地下水的一种重要排泄方式,它是反映岩石富水性和地下水的分布、类型、水质、补给、径流、排泄条件和变化的一项重要标志,泉水是村镇生活供水的重要水源。泉是在一定的地形、地质和水文地质条件的结合下出现的,在山区、丘陵区的沟谷中和山坡脚,泉的分布最为普遍,而在平原地区则很难找到泉。

泉的类型很多,根据水头性质分为上升泉、下降泉。上升泉为承压水补给,在出露口附近,水是自下而上运动。上升泉的水量一般较大,水量、水温和化学成分常年变化不大;下降泉为潜水及上层滞水补给,在出露口附近,水自上而下运动。下降泉的水量一般不大,并且随季节变化,雨季泉水量较大,旱季泉水量变小,甚至干涸。

我国有很多著名的大泉,如山东省济南市是著名的“泉城”,云南省洱源县有“泉县”之称,泉水都很丰富。由于泉水水质好,取集方便,大大节约了设施费用,便于日常的运营管理,因此泉水是村镇供水较好的水源之一。

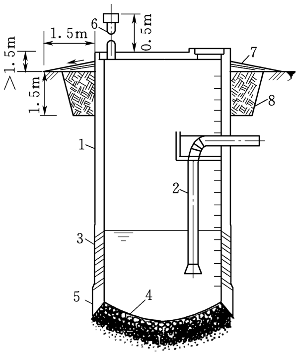
(一)泉室设计

泉室主要由泉室、检修操作室及进水部分组成。

1.泉室

泉室可以是矩形或圆形,通常用钢筋混凝土浇筑或用砖、石、预制混凝土块、预制钢筋混凝土圈砌筑而成。泉室可根据泉水水质、周围环境设为封闭式或敞开式。如泉水水质好,不需要进行水质处理,一般为了使泉水不被污染,要求设计成封闭式。如泉水水质较差,需要进行净化处理,周围无落叶或其他杂物污染泉室中泉水,或泉眼较分散,范围较大,不宜做成封闭泉室时,也可设成敞开式泉室。为避免地面污水从池口或沿池外壁侵入泉室而污染泉水,敞开式泉室池口应高出地面0.5m以上,泉室周围要修建1.5m以上的排水坡。如在渗透性土壤处,排水坡下面还应填一定厚度黏土层或做一薄层混凝土层。泉室中水深可根据泉室容积大小,在1.5~4.0m之间选择。若泉水涌水量太大施工不便或泉眼处工程地质为基岩难以开挖,泉室水深可适当减小,但也要保证出水管管顶淹没在水中不小于1m水深,以避免空气进入出水管。设计时还应考虑设置一些附属管道和配件,如出水管、溢流管、排污管、通气管及控制闸阀等。在低洼地区、河滩上或河床中的泉室要有防止洪水冲刷和淹没的措施。

泉分为上升泉和下降泉,其出流方式有集中和分散两种,相应的泉室也可分为上升泉泉室、下降泉泉室、集中泉泉室和分散泉泉室等。设计时应按不同性质的泉水分别选用不同型式的泉室收集泉水。

(1)集中上升泉泉室。这种泉水出流集中,泉水从地下或从河床中向上涌出,泉室底部进水,如图2-38所示。这种类型的泉室主要适用于取集中上升泉泉水或主要水量从1~2个主泉眼涌出的分散上升泉泉水。

图2-38 集中上升泉泉室构造

(2)集中下降泉泉室。泉水也是集中流出,但泉水是从山坡、岩石等的侧壁流出,泉室侧壁进水,如图2-39所示。这种类型的泉室主要适用于取集中下降泉泉水或主要水量从1~2个主泉眼流出的分散下降泉泉水。

(3)分散泉泉室。泉眼分散,取水时用穿孔管埋入泉眼区,先将水收集于管中,再集于泉室中,如图2-40所示。这类泉室主要适用于取集分散泉泉水。

图2-39 集中下降泉泉室构造

图2-40 分散泉泉室构造

2.检修操作室

检修操作室主要是对泉室进行操作、维护管理的场所,与泉室合建。检修操作室平面形状可以是矩形或圆形,为便于施工,一般采用矩形。其平面尺寸应根据出水管、溢流管及排污管的管径和控制闸阀大小来确定。为便于操作和维修,其最小尺寸不小于1200mm×1200mm。室内、外壁须设有必要的钢制爬梯,室顶应设人孔。但要注意人孔不能被洪水淹没及地面污水通过人孔灌入池内。检修操作室的构造材料一般与泉室构造材料一致。

3.进水部分

根据泉室不同的类型,进水部分主要有池底进水的人工反滤层、池壁进水的水平进水孔和透水池壁。

(1)人工反滤层。池底进水的泉室底部,除了大颗粒碎石、卵石及裂隙岩出水层以外,一般砂质含水层中,为防止含水层中的细小砂粒随水流进入泉池中,并保持含水层的稳定性,应在池底铺设人工反滤层。人工反滤层是防止池底涌砂,安全供水的重要措施。反滤层一般设3~4层,粒径自下而上逐渐变大,每层厚度200~300mm,其总厚度为0.4~1.0m。池底人工反滤层的滤料级配、厚度和层数可参照表2-5选用。

表2-5 池底反滤层滤料粒径和厚度 单位:mm

(2)水平进水孔和透水池壁。水平进水孔和透水池壁是两种主要泉室池壁进水型式。

水平进水孔,由于容易施工而采用较多。在孔内滤料级配合适的情况下,堵塞较轻。一般做成直径100~200mm的圆孔或100mm×150mm~200mm×250mm的矩形孔。进水孔内的填料2~3层,一般为2层,其级配按泉眼处含水颗粒组成确定,可参照式D/di≤(7~8)计算,其中D是与含水层接触的第一层滤料粒径,di是含水层计算粒径。当含水层为细砂或粉砂时,di=d40;中砂时,di=d30;粗砂时,di=d20。两相邻层粒径比一般为2~4。当泉眼周围含水层为砂砾或卵石时,可采用直径为25~50mm不填滤料层的圆形进水孔。进水孔应布置在动水位以下,在进水侧池壁上交错排列,其总面积可达池壁部分面积的15%~20%。

透水池壁具有进水面积大、进水均匀、施工简单和效果好等特点。透水池壁布置在动水位以下,采用砾石水泥混凝土(无砂混凝土),孔隙率一般为15%~25%,砾石水泥透水池壁每高1~2m设一道钢筋混凝土圈梁,梁高为0.1~0.2m,其设计数据可参照表2-6。

表2-6 砾石水泥混凝土池壁设计数据

(二)泉室水位及容积的确定

1.泉室水位的确定

在泉室设计中,池中水位的设计非常重要。池中水位设计过低,不能充分利用水头,造成能量浪费,也会使泉池开挖过深,施工困难。水位设计过高,会使泉路改道,造成取水量不能满足要求或取不到水,甚至造成泉室报废。泉室中的设计水位可考虑略低于测定泉眼枯流量时的水位(一般为300~500mm),这样可保证泉水向泉室内汇集,取到所需的水量,保证供水安全可靠。

2.泉室容积的确定

泉室不同于一般的取水构筑物,在设计中,其容积大小的确定是比较复杂的,通常要考虑泉水量的大小,供水系统特性等。例如泉水量很大,任何时候均大于最高日最大时用水量,则泉室容积就可设置小些,如果泉水量不很大,泉室要起到调节水量作用,则泉室设计容积就要大些。因此,泉室的容积要视其在供水系统中所起的作用而定,通常按以下几种情况考虑。

(1)泉室起取水、集水作用。泉水量很大,泉室以后设有调节设施。这时泉室在供水系统中只起到取水、集水作用,其容积就不需要很大,泉室能罩住主泉眼,满足检修,清掏时人能进入池内操作即可。一般为30~100m3,如果日用水量较大的供水系统,泉室容积可按10~30min的停留时间来计算。

(2)泉室起预沉池作用。泉室后设有调节设施,泉水中大颗粒泥沙含量较高,经自然沉淀后可以去除。这时泉室既起到取、集水作用又起到预沉池作用。其容积除了要保证能罩住主泉眼,满足检修清掏时人能进入池内操作外,还要满足不小于2h的停留时间,对于供水量较大的供水系统,泉室的容积可按2h停留时间计算或按试验确定的停留时间计算。

(3)泉室起调节作用。泉水水质好,不需要净化处理,泉水水位高,能满足重力供水,消毒后可直接供给用户;泉水量稳定,但不能在任何时候满足大于最高日最大用水量;泉眼处工程地质条件好,施工方便。在这些情况下,可将泉室容积设置大些。供水系统中可不再设置清水池和水塔(或高地水池),泉室起调节水量作用。泉室的容积应根据泉水出流水量和用水量变化曲线来确定。缺乏资料时,中、小型供水系统可按日用水量的20%~40%确定,对于极小型供水系统,泉室容积可达到日用水量的50%以上。

刘福臣主编
作家的话
去QQ阅读支持我
还可在评论区与我互动