2.3 工程建设对水文测验的需求分析
2.3.1 工程建设对水文测验的要求
水文测验最早的基本功能之一,就是满足工程建设的水文分析计算的需要。满足该类需要的水文测验工作,一般称之水文基本资料收集。相对于以满足防汛减灾需要的防汛测报工作而言,水文基本资料收集工作,具有以下几个特点:站网相对稳定,开展长期、连续监测,测得历史特征值,掌握典型过程,但并不要求所有的洪水过程都进行施测。水文测验工作的主要功用都在为水文分析计算提供基本资料,这些花费大量人力物力、由大量测次组成的详尽资料,在水文分析计算中,实际上几乎很少用到。《水利水电工程设计洪水计算规范》规定“工程地址或其上、下游邻近地点具有30年以上实测和插补延长的流量资料,应采用频率分析法计算设计洪水。”从需求分析的结论来看,水文分析计算的成果基本上只是由历史特征值、典型过程决定,其余的资料,哪怕是多余的几十年的时间序列的资料,对成果的影响也是微乎其微。然而,水文测验并没有因此优化测次、调整精度或撤销测站。我们将这种现状形象地比喻为“麻袋上绣花”,绣工再精美,用途仍粗糙。这是值得深思的问题,也是创新研究的重点之一。
新中国成立60年来,我国已建成布局比较合理、监测项目比较齐全的各类水文站网,大部分水文站的系列长度达到30年以上,长江中下游干支流上主要测站有的长达60年以上。同时,我国还具备丰富的历史洪水调查资料,在主要江河干支流河段均进行过历史洪水调查考证。
如何采用最合理的水文系列推求工程的设计洪水、枯水、径流等参数使之即能满足系列代表性、可靠性要求,又能避免过度浪费资源,减少水文测验测次和年份,为水文巡测、间测的技术支撑,是工程建设对水文最迫切的需求。
摸清测验方案调整后,精度变化对水文分析计算的影响,是研究的途径。首先,应弄清水文分析计算常用特征值(如洪峰、洪量、枯水流量、年径流)的误差分布特性。其次,要分析水文资料增加的误差对水文分析计算成果的影响,判断技术创新是否满足水文分析计算的需求。研究的技术路线如下。
(1)水文特征值的误差分析。洪峰、枯水是瞬时流量,而洪量和年径流是时均流量(时段统计量),两者的误差分布特性不同,误差分析的数学方法也不同。应分别从误差传递数学推导公式和误差传递随机模拟两种方法,分析瞬时流量和时均流量随机误差的数学公式。
(2)创新水文系列模拟。可针对不同的水文变量,根据相应的误差分布,采用随机模拟法模拟创新系列。为保证有足够样本容量代表总体,模拟形成足够多的M个不同方案N-30年的创新水文系列。再将30年和N-30年的水文系列组合,即可形成M个N年系列。
(3)水文设计值计算。对M个N年系列采用频率分析方法计算设计值,即可得到每套方案模拟创新后的N年组合系列的各频率设计值。
(4)误差评定。将模拟创新后N年系列的各频率设计值与原始N年系列设计值进行比较,根据现有规范和国际惯例,按照95%置信水平下误差不大于5%为标准,提出创新后水文系列允许提高的误差上限。即创新后设计成果与原始系列设计值的相对误差,满足95%置信水平下误差不大于5%的误差评定指标。
2.3.2 水文特征值误差分析
2.3.2.1 水文测验误差来源
水文测验的观测值都含有一定的误差,经整编后所得的各种统计特征值,也因整编方法不同又引入一定的误差。不同的水文特征值,其随机误差分布形式也不尽相同。
1.水文测验的误差来源
水文要素观测值的误差来源主要有以下几种。
(1)设备误差。因设备不准而引起的误差,例如流速仪使用过程中机械磨损、水文缆道垂度改变使仪器定位不准等,都使测量结果产生误差。
(2)环境误差。水文测验受日照、风、气温、气压和湿度等因素影响以及水面波动及漂浮物的存在导致的测验误差。
(3)方法误差。由于测量方法局限性不够确切而引起的误差,如某一时刻的水位或流量值理论上是一种瞬时值,但实际观测中都需要一定的时间,而该时段内的水位和流量又在不断地变化,因此实测值都是该时段内的平均值或综合值。另外,流速的纵横向分布、断面形状的差异、垂线分布、同一垂线测点布置等都可引起误差。
(4)模型误差。水文测验中所用的各种数学模型都是对原型的概化,从而产生了模型误差。在流量计算中,两条测深垂线间的河床并不规则,而计算时将其简化为直线;描述水位流量关系的各种数学模型也是在一定精度控制下建立起来的,与实际变化情况有一定差别;高水时水位流量的确定,往往通过水位流量关系曲线的外延来估算等。
(5)人员误差。指由于观测者的技术水平、熟练程度及生理、心态不同所引起的误差。
2.水文测量误差分类
水文测量误差又分为随机误差、系统误差和伪误差3种。
(1)随机误差。随机误差是指在相同条件下,多次观测同一量值,因受观测者无法控制的各种随机因素的共同作用,其大小和符号都不固定的误差。从单次观测来看,随机误差没有任何规律,但大量误差有一定的统计规律可循,随机误差具有以下主要特性。
1)独立性。顺时序多次测量结果,其误差的出现没有任何规律,完全独立。
2)对称性。随机误差中绝对值相等的正、负误差出现的概率相等,具有对称性质。
3)有界性。误差的绝对值不可能超越一定的界限。
4)单峰性。绝对值小的误差出现次数比绝对值大的误差出现次数多。
5)抵偿性。当观测次数很多时,其误差的均值随着观测次数的增加而趋于零。
(2)系统误差。在相同条件下,对同一项目进行多次观测,若各次误差符号相同,且不能用增加测次来减小的误差,称为系统误差。系统误差分为常系统误差和变系统误差。
1)常系统误差是指各次测量中都共同存在且数值相等的误差,这类误差一般服从均匀分布。例如水尺零点高程不准而引起的水位误差等。
2)变系统误差是指在各次测量中都存在但数值不等的误差。例如,流向不垂直于断面而又不进行流向改正时流量计算的误差,以及流速仪因使用时间过长、摩阻增大而又未及时检定所引起的测速误差等。
(3)伪误差。又称粗大误差,指因人为因素或仪器故障使观测结果有明显错误或超过规定标准的误差。例如读错、记错或测错等。此类误差应在检验核实后予以改正或舍弃。
水文测验误差的系统误差和伪误差多为人为操作错误或仪器检定不及时所造成,这两类误差不会随着水文监测体系创新而有所增加或减少,因此对水文监测体系创新所引起的误差增量主要考虑为随机误差。
2.3.2.2 瞬时流量系列误差分析
1.误差分布形式
我国《河流流量测验规范》规定:“流量测验误差可分为随机误差、未定系统误差、已定系统误差和伪误差。未定系统误差,采用置信水平不低于95%的系统不确定度描述。已定系统误差应进行修正。含有伪误差的测验成果必须剔除。”根据洪峰流量、枯水流量系列推求不同频率的设计值是工程水文分析计算中经常涉及的工作内容,洪峰流量、枯水流量的选样一般采用年最大、最小流量法。年最大洪峰和最枯流量可以视为单点观测值,应按照上述几类流量测验误差进行分析。由于原有水文资料的洪峰流量、枯水流量的随机误差是不确定的,不同的测验、不同的测次,得到的随机误差不同,因此,本研究只需考虑相对误差增量。
随机误差可用概率分布来描述,水文测验中,常用的误差分布有正态分布、t分布和F分布。考虑到典型水文站的资料系列长度均达到30年以上,因此对随机误差的分布形式假定为正态分布,其概率密度函数为

式中 μ——随机误差的均值,在理论上,由随机误差的抵偿性,可取μ=0;
Se——误差的标准差。
假设原系列随机误差的标准差为Se1,将标准差Se2按照一定的分布形式加入到原洪峰流量、枯水流量系列中得到模拟的体系创新后的水文系列,则体系创新后系列的随机误差标准差为Se=
。由Se推求随机不确定度 (X=2Se)也应满足 《水文巡测规范》的规定,见表2.1。
表2.1 定线允许误差指标
注 表中为流速仪测流的定线允许误差,浮标法测流的定线允许误差可增大1%~3%。
2.随机误差的模拟
正态分布随机误差模拟遵循以下步骤。
(1)标准正态分布随机数的模拟。标准正态分布随机数可通过均匀随机数变换得到,假定有服从(0,1)分布的均匀随机数r,由r可以计算相应频率的标准正态分布的分位数,即正态随机数

式中 Φ-1()——标准正态累积分布函数的反函数。
(2)模拟正态分布随机误差。已知随机误差的均值μ为0,标准差为
和标准正态分布随机数ε,则正态分布随机误差x可表示为

因此,在洪峰、枯水实测系列中加入服从正态分布的随机误差
即可得到体系创新后的洪峰流量、枯水流量模拟系列。
2.3.2.3 时均流量系列误差分析
1.随机误差的传播
时段总量由下式计算

式中 Q——时段总量;
qi——分时段流量;
n——时段数。
对上式求导,可得

则时段总量的相对标准差为

假定各分时段流量的误差大致相等,即:mq1=mq2=…=mqn=mq,引入流量不等权系数
,则式 (2.7)可演化为

从式(2.8)可以看出,随着统计时段的延长,统计量的相对标准差逐渐减小。
为验证以上结论,选取汉口水文站作为典型,在瞬时流量样本中加入服从正态分布的随机误差,用面积包围法计算逐日平均流量,再统计月、年平均流量;作水文监测体系创新后的瞬时流量和日、月、年均流量,再与原整编的日、月、年均流量相比较,统计这些模拟值与原值的相对误差大于5%的概率,分析误差传递的特性。
为避免单年样本的代表性较差,实测流量样本均选择1998—2007年共10年的系列,采用随机模拟1万次,逐步增大加入随机误差的标准差。由模拟结果可知(图2.7),随着统计时段的延长(日→月→年),时段流量与原值相对误差大于5%的概率增加速度逐渐变缓:例如汉口站随机误差的标准差
增加到0.03时,日均流量与原值相对误差大于5%的概率超过5%;而当
增加到0.2时,月均流量与原值相对误差大于5%的概率才超过5%,而此时日均流量误差大于5%的概率已为100%;当Se2增加到0.8时,年均流量与原值相对误差的概率才大于5%。

图2.7 汉口站模拟创新系列的日/月/年均流量与原值相对误差大于5%的概率(1998—2007年)
因此,从数学推导以及随机模拟实验可得出以下结论,时段总量的误差远小于瞬时或分时段变量值的误差,当瞬时流量的误差超出了允许范围,时段总量的误差仍可能在允许范围之内。
2.随机误差的模拟
前述误差传递推导法以及随机模拟的实例验证均能证明,随着统计时段的延长,其相对误差逐渐减小。有可能出现瞬时流量误差超出允许范围、但设计年径流或设计洪量误差仍在允许范围之内的现象,从而影响对工程水文服务需求的判断。因此,对于创新后时段总量的误差可通过相对误差的形式处理。

式中 W——创新后推求的时段总量;
WC——创新前推求的时段总量;
δW——W与WC的相对误差。
相对误差有正有负,且理论上正负出现的几率相等。因此可以认为时段总量的相对误差符合二项分布特性,即每个特征值与原特征值相对误差为δW%和-δW%的概率相等,时段总量允许误差满足《水文巡测规范》的规定,见表2.2。
表2.2 时段总量允许误差指标
2.3.3 创新系列的模拟
1.模拟方案
根据《河流流量测验规范》和《水文巡测规范》,随机误差采用置信水平为95%的随机不确定度描述,这也符合国际上的一般惯例。据此,误差的评定标准为:在95%置信水平下,测验体系创新后的水文资料与现状水文资料的分析成果的相对误差不超过±5%,就认为测验体系创新后的水文资料满足水文分析计算的服务需求。
创新后的水文系列采用随机模拟方法生成。随机模拟方案计算框图见图2.8,概括为:①针对不同的水文变量,采用相应的误差分布形式,假定i年实测或统计量系列加入随机误差项,形成创新后的水文系列。②对生成的水文系列进行频率分析,线型选取P-Ⅲ形曲线,采用线性矩法进行参数估计,将模拟系列的各频率设计值与原始系列设计值进行比较,统计各频率设计值相对误差。③重复模拟M次,直至各频率设计值相对误差的最大值和最小值趋于收敛。④按照制定的误差评定指标,判断加入的水文随机误差对水文分析计算结果的满足程度。

图2.8 模拟方案计算框图
通过模拟100、1000、5000、1万、5万、10万、20万、…、100万组系列,分析模拟的系列数对成果的影响,即样本容量多大可以代表总体的统计特性。随着模拟次数的增加,生成系列的设计值与原设计值的相对误差均值和误差大于5%的概率,会逐渐趋于稳定。
2.典型站模拟
本节通过长江流域乌江武隆、干流汉口水文站的实例,论证不同模拟次数设计值的误差分析。
(1)武隆站。将武隆站1952—1981年共30年实测洪峰、年径流、枯水系列加入误差进行随机模拟作为创新后的水文系列。洪峰流量系列加入标准差为3%的随机误差,枯水流量系列加入标准差为1%的随机误差,年径流系列加入±5%随机误差,分别模拟100、1000、5000、…、1万、5万、10万、…、100万次。统计不同模拟次数,创新系列设计值与原设计值的相对误差均值、相对误差大于5%概率值的变化情况,见表2.3~表2.5。
表2.3 武隆站不同模拟次数下洪峰设计值与原设计值的误差均值和误差大于5%的概率(误差标准差3%)
表2.4 武隆站不同模拟次数下枯水设计值与原设计值的误差均值和误差大于5%的概率(误差标准差1.0%)
表2.5 武隆站不同模拟次数下年径流设计值与原设计值的误差均值和误差大于5%的概率(误差±5%)
(2)汉口站。将汉口站1952—1981年共30年实测洪峰、年径流、枯水系列加入误差进行随机模拟作为创新后的水文系列。洪峰流量系列加入标准差为3%的随机误差,枯水流量系列加入标准差为2%的随机误差,年径流系列加入±3%随机误差。同武隆水文站模拟次数一致,汉口水文站创新系列设计值与原设计值相对误差和误差大于5%概率成果,见表2.6~表2.8。
表2.6 汉口站不同模拟次数下洪峰设计值与原设计值的误差均值和误差大于5%的概率(误差标准差3%)
表2.7 汉口站不同模拟次数下枯水设计值与原设计值的误差均值和误差大于5%的概率(误差标准差2%)
表2.8 汉口站不同模拟次数下年径流设计值与原设计值的误差均值和误差大于5%的概率(误差±3%)
根据武隆站、汉口站的随机模拟可知:①随着模拟次数的增加,相对误差的均值,以及相对误差大于5%的概率趋于稳定。②设计洪水、设计年径流模拟10万次与模拟100万次的结果非常接近,可以采用模拟10万次方案代表体系创新后的水文系列。
2.3.4 创新水文系列代表性分析
2.3.4.1 参数计算方法
水文设计值计算一般采用频率计算方法,水文频率计算一般又采用目估适线,考虑到模拟方案达10万次,采用目估适线法是不现实的。
虽然线性矩法与目估适线法确定的参数会有所差别,考虑到现状条件系列与创新后系列均采用线性矩法计算统计参数,排除了人为因素的干扰,所计算的参数可反映各模拟系列的统计特性。
线性矩法(以下简称L-矩法)是Hosking(1990)提出的一种稳健的参数估计方法。L-矩法起源于概率权重矩,是概率权重矩的线性组合。它的最大特点是对洪水系列中的极大值和极小值远没有常规矩那么敏感,因此根据L-矩法估计的洪水频率曲线参数值比常规矩要稳健得多。
随机变量X满足分布函数F(x),F(x)=P(X≤x),这里的P是不超过概率。F(x)是连续函数,它的反函数就是随机变量X的分位数函数x(u),那么F[x(u)]=u。对于任何频率p,x(p)是X的下侧p分位数。
定义正交多项式P*r(u)为

该多项式具有以下性质:①P*r(u)是u的r阶多项式;②P*r(1)=1;③如果r≠s,
。
根据随机变量X的分位数函数定义随机变量的L-矩如下

利用概率权重矩,L-矩可以表示为

式中 αk、βk——概率权重矩Mi,0,k和Mi,j,0。
各阶L-矩可表示为

另外定义以下3个L-矩系数:

2.3.4.2 不同类型水文系列总体L-矩的估算
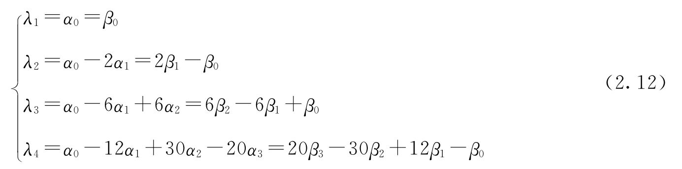
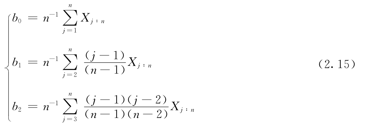
1.连序洪水系列
若随机变量X服从P-Ⅲ型分布,X1,X2,…,Xn是n个样本系列,把这n个值按从小到大的顺序排列(与我国习惯的从大到小的顺序不同),用Xj:n表示系列中的第j个值,即:X1:n<X2:n<…<Xn:n。因为P-Ⅲ型频率曲线含有3个参数,所以只用前三阶L-矩就可以对参数做出估计。先计算前三阶概率权重矩为

前三阶样本L-矩和L-矩系数为

可以证明,样本L-矩lr是总体L-矩λr的无偏估计量。
将P-Ⅲ型概率密度函数改写为

该曲线的3个参数α,β,α0与常用的3个统计参数
、Cv、Cs有以下关系

由此可以推导L-矩与P-Ⅲ型曲线参数的关系为

其中,
,代表不完全贝塔函数比率。可以对样本L 偏态系数t3和样本L 峰度系数t4进行近似计算。
为了估算统计参数,必须先从式(2.17)中解出α。α的近似计算公式为
当0<|t3|<1/3时,则令
,

当1/3≤|t3|<1时,则令z=1-|t3|

由L-矩与P-Ⅲ型曲线参数的关系可以求出3个统计参数:

其中,sign(t3)是符号函数,它表示Cs的符号与t3的符号相同。
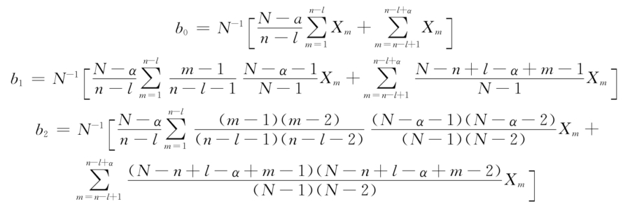
2.不连序洪水系列
设不连序的洪水系列X服从P-Ⅲ型分布,其最大调查期为N,调查的历史洪水个数为α,实测系列的年数为n,实测系列中含特大洪水个数为l。X1,X2,…,Xn-1,Xn-l+1,…,Xn-l+m是样本容量为n-l+α的样本系列,并按从小到大的顺序排列。拟合P-Ⅲ型频率曲线需要3个参数,所以只用前三阶线性矩就可以对参数做出估计。先计算含历史洪水的不连续系列的前三阶概率权重矩:

当b0、b1、b2有样本估算后,其余的计算均与连序洪水系列相同。
2.3.4.3 矩法定线与目估适线比较
以武隆站洪峰流量、72h洪量、枯水为例。武隆站实测系列为1952—2007年,历史洪水有1830年、1909年。矩法定线与目估适线比较见图2.9~图2.11,线(1)为目估适线,线(2)为L-矩法定线,从图中可以看出,两种方法计算的结果基本一致。

图2.9 武隆站设计洪峰目估适线与L-矩法定线适线比较

图2.10 武隆站72h设计洪量目估适线与L-矩法定线比较

图2.11 武隆站设计枯水矩法定线与目估适线与L-矩法定线比较
2.3.4.4 不同类别水文站模拟系列误差分析
模拟系列的误差分析通过选取一类、二类、三类精度水文站分别进行。
1.一类精度站
一类精度站仍以武隆站为例,系列采用1952—2007年,历史洪水有1830年、1909年。
从武隆站实测56年系列中抽出前30年系列作为由传统体系获得的系列,后26年系列作为创新后的系列,即后26年加入随机误差后,与前30年组成56年系列进行频率分析计算。以创新系列的水文设计成果与原设计成果的相对误差在95%置信水平下不超过±5%为标准,分析加入的随机误差(或随机误差标准差)的最大值。创新系列成果与原成果相对误差超过±5%的概率见表2.9~表2.12。
表2.9 武隆站洪峰流量随机模拟成果与原成果相对误差大于5%的概率%
表2.10 武隆站枯水流量随机模拟成果与原成果相对误差大于5%的概率%
表2.11 武隆站72h洪量随机模拟成果与原成果相对误差大于5%的概率%
表2.12 武隆站年径流随机模拟成果与原成果相对误差大于5%的概率%
洪峰、洪量列出了工程常用的设计频率0.01%、0.1%、0.33%、0.5%、1%、2%、3.33%;设计年径流频率为1%、5%、50%、97%;设计枯水频率为50%、90%、97%、99%。
由表2.9可知,对于武隆站洪峰流量系列,若要求频率0.01%的设计洪峰流量成果满足工程水文分析计算服务需求,后26年洪峰系列允许加入随机误差标准差最大为5.5%。
根据表2.10,武隆站枯水流量若要求频率99%的枯水流量成果满足工程水文分析计算服务需求,后26年枯水流量系列允许加入的随机误差标准差最大为4.7%。
根据表2.11,武隆站72h洪量若要求频率0.01%的设计成果满足工程水文分析计算服务要求,后26年72h洪量系列允许加入的随机误差不能超过±6.0%。
根据表2.12,武隆站年径流若要求设计频率1%和97%的成果满足工程水文分析计算服务需求,后26年年径流系列允许加入的随机误差不能超过±7.0%。
2.二类精度站
二类精度站工程以长江流域支流巫溪站为例,选取1972—2007年洪水、年径流、枯水实测系列,历史洪水有1938年。加入误差的方法与武隆站相同。取后18年系列作为创新系列,其创新系列的频率分析成果与原实测系列成果相对误差超过±5%的概率见表2.13~表2.17。
表2.13 巫溪站洪峰流量随机模拟成果与原成果相对误差大于5%的概率%
表2.14 巫溪站枯水流量随机模拟成果与原成果相对误差大于5%的概率%
表2.15 巫溪站24h洪量随机模拟成果与原成果相对误差大于5%的概率%
表2.16 巫溪站72h洪量随机模拟成果与原成果相对误差大于5%的概率%
表2.17 巫溪站年径流随机模拟成果与原成果相对误差大于5%的概率%
根据表2.13,洪峰流量若要求频率0.01%的洪峰设计成果满足工程水文分析计算服务需求,允许加入随机误差标准差不能超过4.5%。
根据表2.14,枯水流量若要求频率99%的设计成果满足工程水文分析计算服务需求,允许加入随机误差标准差不能超过3.0%。
根据表2.15,24h洪量若要求频率0.01%的24h洪量设计成果满足工程水文分析计算服务需求,允许加入的随机误差不能超过±5.0%。
根据表2.16,72h洪量若要求频率0.01%的72h洪量设计成果满足工程水文分析计算服务需求,允许加入的随机误差不能超过±7.0%。
根据表2.17,年径流若要求频率1%和97%的年径流设计成果满足工程水文分析计算服务需求,允许加入随机误差不能超过±5.0%。
3.三类精度站
三类精度站中以长江流域金沙江上游巴塘站为例,选取巴塘站1953—2007年共55年实测系列加入误差的方法与武隆站相同,其创新系列的频率分析成果与原实测系列成果相对误差超过±5%的概率见表2.18~表2.22。
表2.18 巴塘站洪峰流量随机模拟成果与原成果相对误差大于5%的概率%
表2.19 巴塘站24h洪量随机模拟成果与原成果相对误差大于5%的概率%
表2.20 巴塘站72h洪量随机模拟成果与原成果相对误差大于5%的概率%
表2.21 巴塘站168h洪量随机模拟成果与原成果相对误差大于5%的概率%
表2.22 巴塘站年径流随机模拟成果与原成果相对误差大于5%的概率%
由表2.18,若要求频率0.01%的洪峰流量设计成果满足工程水文分析计算服务需求,后25年允许加入随机误差的标准差不能超过6.0%。
若要求频率0.01%的24h洪量、72h洪量和168h洪量设计成果满足工程水文分析计算服务需求,后25年允许加入的随机误差分别不能超过±6.0%、±5.5%和±5.5%。
对于年径流,若要求频率1%和97%的年径流设计成果满足工程水文分析计算服务需求,创新后的年径流系列加入随机误差不能超过±6.5%。
2.3.4.5 系列误差综合分析
为研究各类水文站创新系列的误差上限,对长江流域华弹、巴塘、武胜、武隆、巫溪、宜昌、汉口、白河、郭滩、谷城共10个各类典型水文站按照前一节的分析方法进行水文分析计算服务需求分析。在取置信水平为95%下,10个典型站创新后水文系列的设计成果与原成果的相对误差概率小于±5%,允许加入的最大相对误差或相对误差标准差汇总见表2.23。
表2.23 10个典型水文站创新系列允许误差统计表%
根据表2.23,满足工程水文分析计算需求,各水文站洪峰流量的允许误差均可适当提高,考虑到各站洪水系列能允许加入的误差不同,取下包线,洪峰流量可增加的相对误差标准差为4.0%;洪量允许加入相对误差为±5.0%~±5.5%;年径流系列允许加入相对误差为±4.0%;枯水流量系列允许加入的相对误差为3.0%。
从长江流域一类、二类、三类精度站中选择的华弹、巴塘、武胜、武隆、巫溪、宜昌、汉口、白河、郭滩、谷城共10个代表站模拟分析成果可知,凡是在频率曲线“两端”部分的设计值对误差灵敏度较高,曲线中间部分的设计频率(10%~90%)对误差变化不敏感。随着模拟加入系列的误差标准差或误差绝对值的增大,“两端”的设计成果误差最先不满足误差控制概率的要求。
因此,洪峰、洪量选用设计频率0.01%、设计年径流采用1%和97%、设计枯水选用99%作为成果判定标准,不仅对于工程设计来讲非常“严格”,对于测验误差允许提高的上限来讲也非常“严格”。
受历史洪水的控制影响,体系创新对设计洪峰流量影响要弱于设计枯水,对于不同时段长度的平均流量,体系创新对“短时段”设计洪量的影响反而要弱于“长时段”的设计年径流。
现行规范要求下,30年后的洪峰系列可增加相对误差4.0%,洪量可加入的相对误差为±5.0%~±5.5%。也就是说,考虑历史洪水后,再加上30年洪水系列,其代表性较高,30年后洪水测流可适当精简测次、或者采取巡测、间测或校测的方式。